DECRETO N. 25.993, DE 8 DE OUTUBRO DE 1986

Altera os Anexos I, II, IV e V, de que trata o Decreto n. 22.104, de 18 de abril de 1984, que dispõe sobre diárias

FRANCO MONTORO, Governador do Estado de São Paulo, no uso de suas atribuições legais,
Decreta:
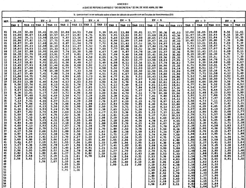
Artigo 1.º - Os Anexos I, II, IV e , de que trata o inciso II do Artigo 2.° do Decreto n. 22.104, de 18 de abril de 1984, com as modificações efetuadas nos termos do Artigo 1.° dos Decretos n. 24.185, de 29 de outubro de 1985, e 24.790, de 27 de fevereiro de 1986, ficam alterados na conformidade dos Anexos que fazem parte integrante deste decreto.
Artigo 2.º - Este decreto entrará em vigor na data de sua publicação, retroagindo efeitos a 1.° de março de 1986.
Palácio dos Bandeirantes, 8 de outubro de 1986.
FRANCO MONTORO
Eduardo Augusto Muylaert Antunes,
Secretário da Seguranca Pública, respondendo pelo expediente da Secretaria da Justica
Marcos Giannetti da Fonseca, Secretário da Fazenda
Gilberto Dupas, Secretário de Agricultura e Abastecimento
João Oswaldo Leiva, Secretário de Obras e Saneamento
Adriano Murgel Branco, Secretário dos Transportes
José Aristodemo Pinotti, Secretário da Educação
João Yunes, Secretário da Saúde
Carlos Alfredo de Souza Queiróz, Secretário da Promoção Social
Jorge da Cunha Lima, Secretário da Cultura
Einar Alberto Kok, Secretário da Indústria, Comércio, Ciência e Tecnologia
Sérgio Barbour, Secretário de Esportes e Turismo
Alda Marco Antonio, Secretária de Relações do Trabalho
Antônio Carlos Mesquita, Secretário da Administração
Clóvis de Barros Carvalho, Secretário de Economia e Planejamento
Chopin Tavares de Lima, Secretário do Interior
Lauro Pacheco de Toledo Ferraz, Secretário dos Negócios Metropolitanos
Carlos Figueiredo da Silva, Secretário Extraordinário de Descentralização e Participação
Luiz Carlos Bresser Pereira, Secretário do Governo
José Pedro de Oliveira Costa, Secretário Extraordinário do Meio Ambiente
Publicado na Secretaria de Estado do Governo, aos 8 de outubro de 1986.