DECRETO N. 32.117, DE 10 DE AGOSTO DE 1990

Dispõe sobre a correção monetária por atraso de pagamento nos contratos e dá outras providências

ORESTES QUÉRCIA, Governador do Estado de São Paulo, no uso de suas atribuições legais, 
Decreta: 
Artigo 1.º - A correção monetária, por atraso de pagamento, nos contratos de aquisição de bens, execução de obras e prestação de serviços, a que se refere o Artigo 74 da Lei Estadual n. 6.544, de 22 de novembro de 1989 e a Lei Estadual n. 6.753, de 23 de fevereiro de 1990, será obtida pela aplicação da taxa de variação da UFESP - Unidade Fiscal do Estado de São Paulo, criada pelo Artigo 113 da Lei Estadual n. 6.374, de 1.º de março de 1989, desde a data do vencimento até a data do efetivo pagamento da obrigação.
Artigo 2.º - a prazo de vencimento das obrigações contratuais deverá ser, no mínimo, de 7 (sete) dias para os contratos com preço a vista, nos quais não se inclua qualquer percentual de despesa financeira e ou previsão inflacionária na data de referência dos preços.
Parágrafo 1.º - Os contratos que tenham computados os acréscimos referidos neste artigo, terão prazo mínimo de vencimentos correspondente ao número de dias a que equivaler o percentual da despesa financeira e ou previsão inflacionária em relação á taxa média diária calculada segundo a fórmula abaixo, acrescida sempre de 7 (sete) dias.



onde:
i = taxa média diária.
BTNO = valor do BTN do mês do evento contratual, da entrega do bem, da fatura e ou da medição.
BTN1 = valor do BTN do mês anterior ao do mês do BTNO.
m = número de dias do mês que corresponder ao BTN1.

Parágrafo 2.º - Nos contratos de obras e de prestações de serviços em que, contratualmente for estabelecido o critério de "medições", o prazo de vencimento da obrigação contratual será contado a partir da medição, constituindo-se a fatura o documento hábil para o pagamento, caso em que, para o cumprimento do prazo de pagamento estipulado, as partes contraentes observarão o seguinte:
I. A contratada deverá entregar a medição ao órgão competente da contratante, imediatamente após o seu encerramento.
II. O órgao competente da contratante deverá aprovar o valor para fins de faturamento, comunicando-o a contratada dentro de 3 (três) dias do recebimento da medição, na forma do inciso anterior.
III. A contratada deverá apresentar a fatura no primeiro dia subsequente à comunicação do valor aprovado nos termos do inciso anterior.
IV. O valor não aprovado nos termos do inciso II deverá ser, no mesmo momento, comunicado a contratada com a justificativa correspondente.
Artigo 4.º - Alternativamente aos procedimentos do Artigo 2.º, parágrafo 1.º, e facultado as entidades definidas no Artigo 10, adotar a aplicação de coeficiente redutor aos pregos finais, observando-se um dos seguintes critérios:
I - quando a taxa de despesa financeira e ou previsão inflacionária estiver demonstrada no contrato e/ou no documento que deu origem ao preço da proposta, considerando-se sempre a data de referênda dos preços dos contratos:


II - quando a taxa de despesa financeira e ou previsão inflacionária não estiver demonstrada no contrato e ou no documento que deu  origem ao preço da proposta, considerando-se sempre a data de referência dos preços dos contratos:


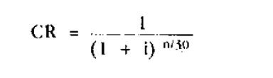
onde:
CR = coeficiente redutor do preço final.
i = taxa mensal de custo financeiro e ou expectativa inflacionária considerada no preço contratual.
BTNO = valor do BTN do mês de referência do preço do contrato.
BTN1 = valor do BTN do mês anterior ao de referência do preço do contrato.
n = prazo de pagamento, em número de dias, fixado no contrato.  
m = número de dias do mês que corresponder ao BTN1.

Parágrafo 1.º
- Não se aplica o inciso I deste artigo a eventuais indicações de taxas iguais a zero, ou significativamente menores àquelas praticadas pelo mercado financeiro na data de referência dos preços, devendo tais casos serem caracterizados dentro do inciso II, salvo se as datas de referência de preços determinados pelo Governo Federal.

Parágrafo 2.º
- O BTN será substituído na fórmula do inciso II deste artigo pela ORTN ou OTN, observadas as respectivas vigências legais.

Parágrafo 3.º
- Nos contratos com preços de referência situados entre 01/02/89 e 28/02/89, deverão ser utilizados, excepcionalmente, para o cálculo previsto no inciso II deste artigo, os valores do BTN de fevereiro de 1989, como BTN1, e de março de 1989, como BTNO.

Artigo 5.º
- Os preços reduzidos a que se refere o artigo anterior poderão ser reajustados financeiramente, calculados "pro-rata", desde o 8.º (oitavo) dia do evento contratual, da entrega do bem, da fatura e ou da medição até os respectivos vencimentos contratuais, aplicando-se a seguinte fórmula:


onde:
TRF = taxa reajuste financeiro.
BTNO = valor do BTN do mês do evento contratual, da entrega do bem, da fatura e ou da medição.
BTN1 = valor do BTN do mês anterior ao do mês do BTNO. 
n = número de dias contados do 8.º (oitavo) dia após o evento contratual, da entrega do bem, da fatura e/ou da medição, inclusive, até o vencimento  da obrigação contratual.
m = número de dias do mês que corresponder ao BTN1. 

Artigo 6.º - Eventual distorção decorrente da aplicação dos Artigos 2.º, 4.º e 5.º, verificada em período de congelamento de preços determinado pelo Governo Federal, será objeto de tratamento específico baixado em Resolução do Secretário da Fazenda do Estado, após solicitação, da entidade contratante, de forma a preservar o equilíbrio econômico-financeiro do contrato.
Artigo 7.º - Observadas as respectivas vigências legais, o BTN referido neste decreto será substituído por outro título que venha a sucedê-lo.
Artigo 8.º - Todo funcionário ou servidor que, a qualquer título, tenha a seu cargo a responsabilidade de processar o pagamento de obrigações contratuais deverá diligenciar, em tempo hábil, para que sua efetivação obedeça aos respectivos prazos de vencimento.
Parágrafo 1.º - Pelo descumprimento do disposto neste artigo, sem motivo justificado, o funcionário ou servidor será pessoalmente responsabilizado pelos prejuízos causados à Fazenda Estadual, nos termos do Artigo 245 da Lei Estadual n. 10.261, de 28 de outubro de 1968.
Parágrafo 2.º - A importância do prejuízo causado à Fazenda do Estado será reposta, de uma só vez, de acordo com o disposto no Artigo 247 da Lei Estadual n. 10.261 de 28 de outubro de 1968.
Artigo 9.º - Nos processos licitatórios para aquisição de bens, execução de obras e prestação de serviços deverão ser observados, obrigatoriamente, os procedimentos contidos neste decreto.
Artigo 10. - As disposições deste decreto aplicam-se às Entidades da Administração Centralizada e Descentralizada, inclusive Universidades e Fundações mantidas pelo Estado, Sociedades de Economia Mista, Empresas Públicas Estaduais e demais sociedades controladas direta ou indiretamente pelo Estado.
Artigo 11 - O Secretário da Fazenda baixará as instruções complementares julgadas necessárias à execução deste decreto.
Artigo 12 - Este decreto entrará em vigor na data de sua publicação, revogados os Decretos n. 31.142, de 10 de janeiro de 1990 e 31.328, de 29 de março de 1990.
Palácio dos Bandeirantes, 10 de agosto de 1990.
ORESTES QUÉRCIA
José Machado de Campos Filho, Secretário da Fazenda
Cláudio Ferraz de Alvarenga, Secretário do Governo
Publicado na Secretaria de Estado do Governo, aos 10 de agosto de 1990.