DECRETO Nº 57.181, DE 29 DE JULHO DE 2011

Transfere à São Paulo Previdência - SPPREV, os imóveis pertencentes ao Instituto de Previdência do Estado de São Paulo (hoje Instituto de Pagamentos Especiais de São Paulo) e à Caixa Beneficente da Polícia Militar do Estado

GERALDO ALCKMIN, Governador do Estado de São Paulo, no uso de suas atribuições legais e nos termos do artigo 37 da Lei Complementar nº 1.010, de 1º de junho de 2007,
Decreta:
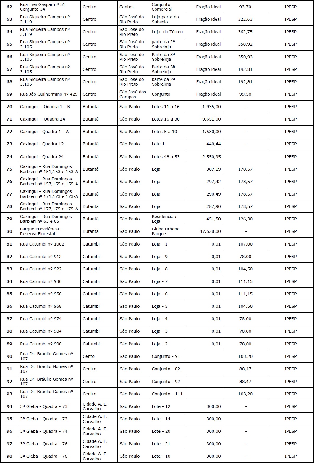
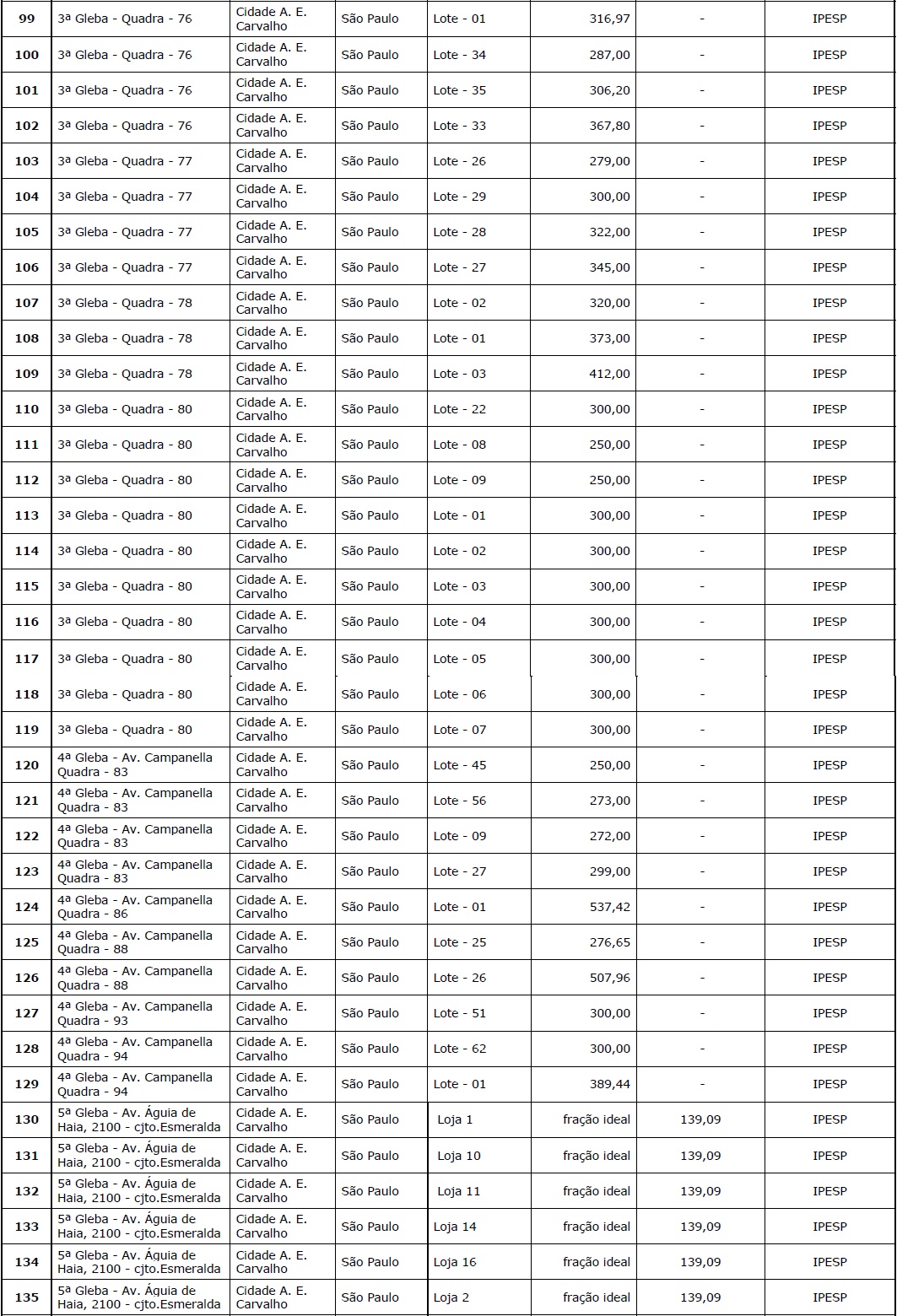
Artigo 1º - Ficam transferidos à São Paulo Previdência - SPPREV, os imóveis relacionados no Anexo que fica fazendo parte integrante deste decreto, pertencentes ao Instituto de Previdência do Estado de São Paulo (hoje Instituto de Pagamentos Especiais de São Paulo) e à Caixa Beneficente da Polícia Militar do Estado.
Artigo 2º - As Superintendências do IPESP e da CBPM e a Presidência da SPPREV adotarão as providências necessárias à efetivação registral desta transferência, sem prejuízo de eventual alienação destes bens, cujo resultado irá compor o fundo previdenciário administrado pela São Paulo Previdência - SPPREV, nos termos do parágrafo único, do artigo 34, da Lei Complementar nº 1.010, de 1º de junho de 2007.
Artigo 3º - Este decreto entra em vigor na data de sua publicação.
Palácio dos Bandeirantes, 29 de julho de 2011
GERALDO ALCKMIN
Andrea Sandro Calabi
Secretário da Fazenda
Antonio Ferreira Pinto
Secretário da Segurança Pública
Sidney Estanislau Beraldo
Secretário-Chefe da Casa Civil
Publicado na Casa Civil, aos 29 de julho de 2011.