DECRETO
Nº 58.526, DE 6 DE NOVEMBRO DE 2012
Cria as
unidades que especifica e altera o Decreto nº 57.933, de 2 de
abril de 2012, que reorganiza a Secretaria do Meio Ambiente e
dá providências correlatas
GERALDO ALCKMIN,
Governador do Estado de São Paulo, no uso de suas
atribuições legais,
Decreta:
Artigo 1º -
Ficam criados, na Secretaria do Meio Ambiente, integrando a estrutura
das unidades a seguir indicadas:
I - da Coordenadoria
de Parques Urbanos - CPU:
a) Departamento de
Atividades Socioambientais;
b) Departamento
Técnico-Operacional;
II - da
Coordenadoria de Administração - CA, 10 (dez)
Núcleos Administrativos Regionais (de I a X).
Artigo 2° -
Os dispositivos adiante enumerados do Decreto nº 57.933, de 2
de abril de 2012, passam a vigorar com a seguinte
redação:
I - o §
3º do artigo 4º:
"§ 3º
- A Unidade de Atendimento aos Órgãos de Controle
Externo, a Consultoria Jurídica e o Grupo Setorial de
Tecnologia da Informação e
Comunicação - GSTIC reportam-se ao Chefe de
Gabinete."; (NR)
II - o artigo 12:
"Artigo 12 - A
Coordenadoria de Parques Urbanos tem a seguinte estrutura:
I - Departamento de
Atividades Socioambientais, com:
a) Centro de Esporte,
Lazer e Cultura;
b) Centro de
Integração e Comunicação
Social;
II - Departamento
Técnico-Operacional, com 8 (oito) Centros de
Gestão;
III - Núcleo
Administrativo."; (NR)
III - do artigo 13:
a) o inciso II:
"II -
Assistência Técnica do Coordenador e
Célula de Apoio Administrativo, a Coordenadoria de
Administração;"; (NR)
b) a
alínea "e" do inciso IV:
"e) da Coordenadoria de
Parques Urbanos:
1. os Centros do
Departamento de Atividades Socioambientais;
2. os Centros do
Departamento Técnico-Operacional;"; (NR)
c) o inciso V:
"V - Célula
de Apoio Administrativo:
a) os Núcleos
Administrativos Regionais, da Coordenadoria de
Administração;
b) os Núcleos
Regionais de Programas e Projetos, do Centro Técnico de
Programas e Projetos de Biodiversidade."; (NR)
IV - o inciso I do
artigo 15:
"I - Coordenadoria de
Administração: exceto na Capital e nos
municípios sedes dos seus Núcleos Administrativos
Regionais;"; (NR)
V - a
alínea "g" do inciso III do artigo 18:
"g) da Coordenadoria de
Parques Urbanos:
1. o Centro de Esporte,
Lazer e Cultura;
2. o Centro de
Integração e Comunicação
Social;
3. os Centros de
Gestão;"; (NR)
VI - o inciso IV do
artigo 56:
"IV - apoiar,
técnica e financeiramente, as unidades de policiamento
ambiental, da Polícia Militar do Estado de São
Paulo, incumbidas, nos termos do parágrafo único
do artigo 195 da Constituição do Estado de
São Paulo, da prevenção e
repressão das infrações cometidas
contra o meio ambiente;"; (NR)
VII - do artigo 57:
a) o item 3 da
alínea "a" do inciso VII:
"3. em áreas
legalmente protegidas, inclusive as definidas como Unidades de
Conservação de Proteção
Integral;"; (NR)
b) o item 3 da
alínea "b" do inciso VIII:
"3. os remanescentes de
vegetação nativa, a fauna silvestre e as
áreas legalmente protegidas, inclusive as definidas como
Unidades de Conservação de
Proteção Integral;"; (NR)
VIII - o "caput" do
artigo 61:
"Artigo 61 - O
Departamento Técnico-Operacional tem, por meio dos Centros
de Gestão, as seguintes atribuições:".
(NR)
Artigo 3° -
Ficam acrescentados ao Decreto nº 57.933, de 2 de abril de
2012, os dispositivos adiante relacionados, com a seguinte
redação:
I - no artigo
6°, o inciso VI:
"VI - 10 (dez)
Núcleos Administrativos Regionais (de I a X).";
II - no artigo 13, o
inciso I-A:
"I-A -
Assistência Técnica do Coordenador:
a) a Coordenadoria de
Biodiversidade e Recursos Naturais;
b) a Coordenadoria de
Educação Ambiental;
c) a Coordenadoria de
Planejamento Ambiental;
d) a Coordenadoria de
Fiscalização Ambiental;
e) a Coordenadoria de
Parques Urbanos;";
III - no artigo 18:
a) inciso II, a
alínea "h":
"h) os Departamentos da
Coordenadoria de Parques Urbanos;";
b) inciso V, a
alínea "e":
"e) os
Núcleos Administrativos Regionais, da Coordenadoria de
Administração;";
IV - no artigo 25, o
inciso III:
"III - os
Núcleos Administrativos Regionais, da Coordenadoria de
Administração.";
V - no artigo 28, o
inciso XVI:
"XVI - prestar apoio
financeiro a todas as unidades da Secretaria, em especial
através dos Fundos Especiais de Despesa vinculados
à unidade de despesa Gabinete do Secretário.";
VI - no artigo 34, o
inciso III:
"III - prestar apoio
administrativo, em especial por meio do compartilhamento de recursos
materiais e humanos, às unidades regionais de toda a
estrutura da Secretaria, inclusive no que tange à
realização de despesas através de
adiantamentos, com dotações daquelas unidades.";
VII - o artigo 39-A:
"Artigo 39-A - Os
Núcleos Administrativos Regionais têm, em suas
respectivas áreas de atuação, a
atribuição de apoiar e executar as atividades da
Coordenadoria de Administração nas unidades
regionais da Secretaria, conforme detalhamento a ser formalizado
através de resolução do Titular da
Pasta, respeitada a legislação pertinente e
observadas as disposições dos artigos 34 a 39 e
66 a 68 deste decreto.";
VIII - o artigo 60-A:
"Artigo 60-A - O
Departamento de Atividades Socioambientais tem as seguintes
atribuições:
I - orientar, de forma
unificada, as atividades dos parques urbanos, estabelecendo as
diretrizes de atuação a serem adotadas;
II - por meio do Centro
de Esporte, Lazer e Cultura:
a) realizar a
programação de esporte, lazer e cultura que
envolva estudantes e público em geral;
b) indicar
parâmetros e realizar o monitoramento da
visitação pública nas
dependências dos parques urbanos;
III - por meio do Centro
de Integração e Comunicação
Social:
a) elaborar material
informativo sobre as atividades desenvolvidas nos parques urbanos;
b) manter contatos e
intercâmbio de informações com os
frequentadores, visitantes e moradores das redondezas dos parques
urbanos.";
IX - no artigo 66,
os incisos VII e VIII:
"VII - protocolar,
classificar e autuar papéis e processos;
VIII - realizar
serviços de classificação,
organização e conservação
de arquivos de documentos e processos.";
X - no artigo 69,
inciso II, alínea "o", o item 5:
"5. Núcleos
Administrativos Regionais, de que trata o inciso VI do artigo
6º;";
XI - no artigo 124,
os incisos VI e VII:
"VI - Parque Gabriel
Chucre, de que trata a Lei nº 14.458, de 16 de maio de 2011;
VII - transferidos para
a administração da Secretaria pelo Decreto
nº 58.258, de 1º de agosto de 2012:
a) Parque da Juventude;
b) Parque "Dr. Fernando
Costa".";
XII - os artigos
126-A, 126-B e 126-C:
"Artigo 126-A - Os
Parques Urbanos contarão, cada um, com um Conselho de
Orientação, integrado por membros do Poder
Executivo e da sociedade civil.
Parágrafo
único - As funções de membro dos
Conselhos não serão remuneradas, mas consideradas
como serviço público relevante.
Artigo 126-B - Os
Conselhos de Orientação dos Parques Urbanos
têm, em suas respectivas áreas de
atuação, as seguintes
atribuições:
I - acompanhar:
a) a
elaboração do Regimento Interno do Conselho;
b) a
elaboração, implementação
e/ou revisão do plano diretor do parque, garantindo seu
caráter participativo;
c) a
aplicação dos recursos destinados ao parque;
II - buscar a
integração com:
a) os demais parques,
áreas verdes e de lazer do Município;
b) seu entorno;
III - manifestar-se
sobre intervenções, atividades ou eventos
propostos;
IV - promover a
articulação dos órgãos
públicos, organizações não
governamentais, população residente no entorno e
iniciativa privada, para a concretização dos
planos e ações de proteção,
recuperação e melhoria do parque.
Artigo 126-C - O
Secretário do Meio Ambiente, mediante
resolução:
I - definirá
a composição de cada Conselho de
Orientação, observado o disposto no "caput" do
artigo 126-A deste decreto;
II -
estabelecerá as normas gerais de funcionamento dos Conselhos
de Orientação dos Parques Urbanos;
III -
aprovará o Regimento Interno de cada Conselho de
Orientação.".
Artigo 4º -
Para fins de concessão do "pro labore", de que trata o
artigo 28 da Lei nº 10.168, de 10 de julho de 1968, ficam
classificadas as funções de serviço
público a seguir discriminadas, na seguinte conformidade:
I - na Coordenadoria
de Parques Urbanos:
a) 1 (uma) de
Diretor Técnico III, destinada ao Departamento de Atividades
Socioambientais;
b) 3
(três) de Diretor Técnico II, destinadas:
1. 1 (uma) ao Centro
de Esporte, Lazer e Cultura;
2. 1 (uma) ao Centro
de Integração e Comunicação
Social;
3. 1 (uma) ao Centro
de Gestão onde for necessária;
II - na
Coordenadoria de Administração, 10 (dez) de
Diretor Técnico I, destinadas 1 (uma) a cada um dos
Núcleos Administrativos Regionais (de I a X).
Artigo 5º -
Será exigido dos servidores designados para as
funções de serviço público
classificadas nos termos do artigo 4º deste decreto, o
preenchimento dos requisitos mínimos de escolaridade e
experiência profissional fixados no Anexo IV a que se refere
o artigo 5º da Lei complementar nº 1.080, de 17 de
dezembro de 2008.
Artigo 6º -
Ficam extintas:
I - na data da
publicação deste decreto, a unidade
administrativa denominada Parque "Dr. Fernando Costa" e o Centro
Técnico-Operacional integrante de sua estrutura;
II - na data em que
for instalado o Conselho de Orientação do Parque
"Dr. Fernando Costa" nos termos do artigo 126-A do Decreto nº
57.933, de 2 de abril de 2012, o Conselho Consultivo da unidade
administrativa extinta pelo inciso I deste artigo.
Parágrafo
único - Até a data de sua
extinção o Conselho Consultivo de que trata o
inciso II deste artigo:
1.
permanecerá regido, no que couber, pelos artigos 68 a 70 do
Decreto nº 43.142, de 2 de junho de 1998, alterado pelo
Decreto nº 52.797, de 11 de março de 2008;
2. será
presidido pelo Coordenador de Parques Urbanos.
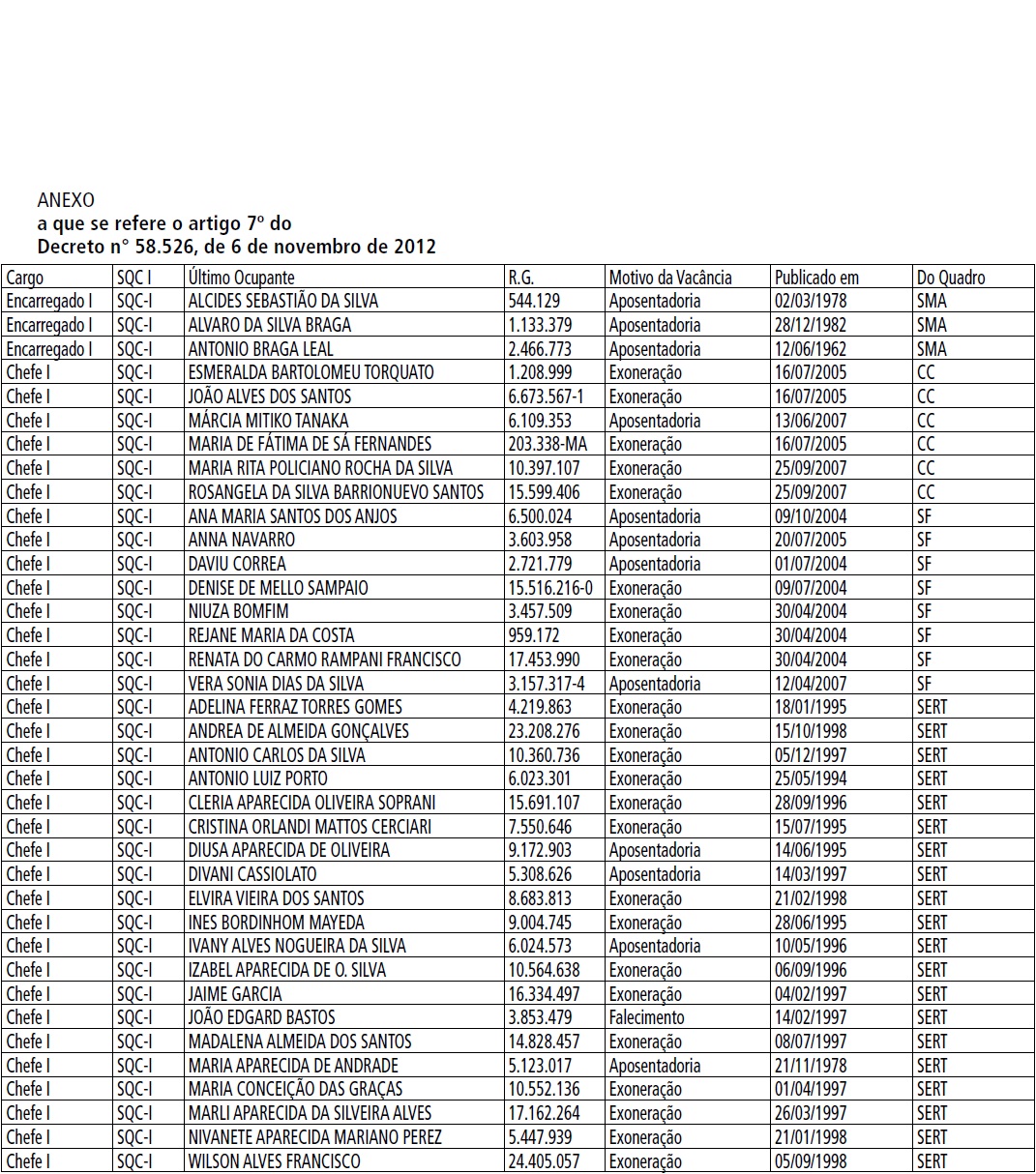
Artigo 7º -
Ficam extintos os cargos vagos do Banco de Cargos e
Funções-Atividades Disponíveis de que
trata o Decreto nº 40.039, de 6 de abril de 1995, constantes
do Anexo que faz parte integrante deste decreto.
Artigo 8º -
Este decreto e suas disposições
transitórias entram em vigor na data de sua
publicação, retroagindo os efeitos do artigo
2º das disposições
transitórias a 2 de agosto de 2012.
DISPOSIÇÕES
TRANSITÓRIAS
Artigo 1º -
O Secretário do Meio Ambiente fica incumbido de apresentar,
dentro do prazo de 30 (trinta) dias contados a partir da data da
publicação deste decreto, proposta de decreto
relativa às normas a serem aplicadas para outorga de
permissão ou autorização de uso, a
título precário, de áreas internas dos
parques urbanos de responsabilidade da Pasta.
Artigo 2º -
Até a edição do decreto a que se
refere o artigo 1º destas disposições
transitórias:
I - o Decreto
nº 54.947, de 21 de outubro de 2009, alterado pelo Decreto
nº 55.245, de 23 de dezembro de 2009, passa a ser aplicado,
também, no que couber, para a outorga de
permissão ou autorização de uso, a
título precário, de áreas internas dos
seguintes parques urbanos de responsabilidade da Secretaria do Meio
Ambiente:
a) Parque Gabriel
Chucre, de que trata a Lei nº 14.458, de 16 de maio de 2011;
b) transferidos para
a administração da Secretaria pelo Decreto
nº 58.258, de 1º de agosto de 2012:
1. Parque da
Juventude;
2. Parque "Dr.
Fernando Costa";
II - a
competência prevista no "caput" do artigo 1º do
Decreto nº 54.947, de 21 de outubro de 2009,
poderá, por delegação do
Secretário do Meio Ambiente, ser exercida pelo Coordenador
de Parques Urbanos.
Parágrafo
único - O Secretário do Meio
Ambiente poderá, mediante resolução,
baixar normas complementares que se fizerem necessárias ao
adequado cumprimento deste artigo.
Palácio dos
Bandeirantes, 6 de novembro de 2012
GERALDO ALCKMIN
Bruno Covas
Secretário do
Meio Ambiente
Sidney Estanislau Beraldo
Secretário-Chefe
da Casa Civil
Publicado na Casa Civil,
aos 6 de novembro de 2012.

DECRETO Nº 58.526, DE 6 DE NOVEMBRO DE 2012
Retificação do D.O. de 7-11-2012
No inciso IX do artigo 3º, leia-se como segue e não como constou:
IX - no artigo 66, os incisos VIII e IX:
"VIII - protocolar, classificar e autuar papéis e processos;
IX - realizar serviços de classificação, organização e conservação de arquivos de documentos e processos.";