GERALDO ALCKMIN, Governador do Estado de São Paulo, no uso de suas atribuições legais,
Considerando os ordenamentos estabelecidos na Constituição do Estado; as disposições da legislação orçamentária e financeira vigentes; as normas gerais contidas na Lei federal nº 4.320, de 17 de março de 1964; as diretrizes fixadas na Lei Complementar federal nº 101, de 4 de maio de 2000, na Lei nº 16.291, 20 de julho de 2016, que dispõe sobre as Diretrizes Orçamentárias para o exercício de 2017 e na Lei nº 16.347, de 29 de dezembro de 2016, que orça a Receita e fixa a Despesa do Estado para o exercício de 2017;
Considerando a necessidade de assegurar na execução orçamentária o princípio do equilíbrio entre despesas e receitas, estabelecido pela Lei nº 16.347, de 29 de dezembro de 2016, com a adoção de procedimentos que ajustem a realização do gasto ao comportamento efetivo da arrecadação, a fim de resguardar a estabilidade financeira do Tesouro do Estado;
Considerando o firme propósito de cumprir as metas fiscais estabelecidas para o exercício e, ao mesmo tempo, dar maior efetividade à realização do programa de Governo e eficiência ao uso dos recursos, e que para tanto, faz-se necessário adotar critérios seletivos na realização das despesas públicas,
Decreta:
Artigo 1º - O processo de execução do Orçamento do Estado de São Paulo, aprovado pela Lei nº 16.347, de 29 de dezembro de 2016, observará as normas deste decreto e será obrigatoriamente realizado, em tempo real, no Sistema Integrado de Administração Financeira para Estados e Municípios - SIAFEM/ SP com o registro de todos os atos relativos à movimentação orçamentária, financeira, patrimonial e contábil.
Artigo 2º - As normas estabelecidas neste decreto aplicam-se aos órgãos da Administração Direta, às Autarquias, às Fundações, aos Fundos Especiais, aos Fundos Especiais de Despesa e às Sociedades de Economia Mista, classificadas como dependentes de acordo com o conceito estabelecido pelo inciso III, do artigo 2 º, da Lei Complementar federal nº 101, de 4 de maio de 2000 e, no que couber, às demais sociedades em que o Estado detenha, direta ou indiretamente, a maioria do capital social com direito a voto.
Artigo 3º- A gestão dos recursos orçamentários e financeiros far-se-á através das seguintes unidades:
I - Unidade Gestora Orçamentária - UGO, unidade gerenciadora e controladora das dotações de cada Unidade Orçamentária, que centraliza todas as operações de natureza orçamentária, dentre as quais a distribuição de recursos às Unidades Gestoras Executoras e aos Fundos Especiais de Despesa;
II - Unidade Gestora Financeira - UGF, unidade responsável pela gestão e controle dos recursos financeiros, que centraliza as operações e transações bancárias;
III - Unidade Gestora Executora - UGE, unidade administrativa codificada no SIAFEM/SP, integrante da estrutura dos órgãos da Administração Direta, das Autarquias, das Fundações e das Sociedades de Economia Mista classificadas como dependentes, incumbida da execução orçamentária e financeira da despesa.
§ 1º - Toda Unidade de Despesa constitui uma Unidade Gestora Executora.
§ 2º - Nas Autarquias, Fundações e Sociedades de Economia Mista, classificadas como dependentes, a gestão será única, abrangendo as atribuições da Unidade Gestora Financeira e da Unidade Gestora Orçamentária, podendo ser desdobrada em Unidades Gestoras Executoras, com as atribuições definidas no inciso III deste artigo, visando à descentralização e à racionalização na aplicação dos recursos orçamentários.
§ 3º - Para efeito de operacionalização no SIAFEM/SP, os Fundos Especiais de Despesa são, concomitantemente, Unidades Gestoras Financeiras e Unidades Gestoras Executoras.
Artigo 4º - A discriminação da receita é a constante na Lei nº 16.347, de 29 de dezembro de 2016 e seu detalhamento será editado pela Secretaria da Fazenda.
Artigo 5º - A distribuição das dotações orçamentárias aprovadas pela Lei nº 16.347, de 29 de dezembro de 2016 será automaticamente disponibilizada no SIAFEM/SP, observado o seguinte detalhamento:
I - classificação institucional por Órgão e Unidade Orçamentária;
II - classificação funcional por função e subfunção;
III - estrutura programática, composta por programa, atividade e/ou projeto;
IV - classificação da despesa por natureza até o nível de elemento; e
V - fonte de recursos.
Artigo 6º - As Unidades Gestoras Orçamentárias procederão à distribuição da dotação orçamentária para as respectivas Unidades Gestoras Executoras mediante Nota de Crédito.
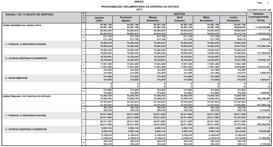
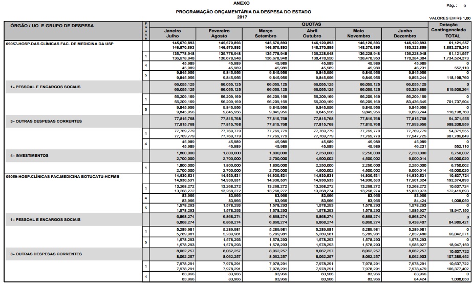
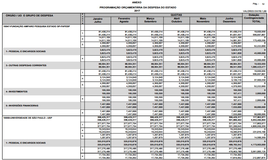
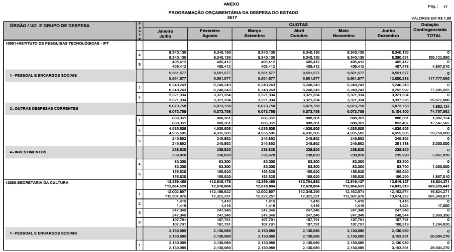
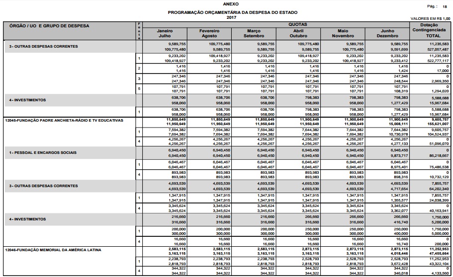
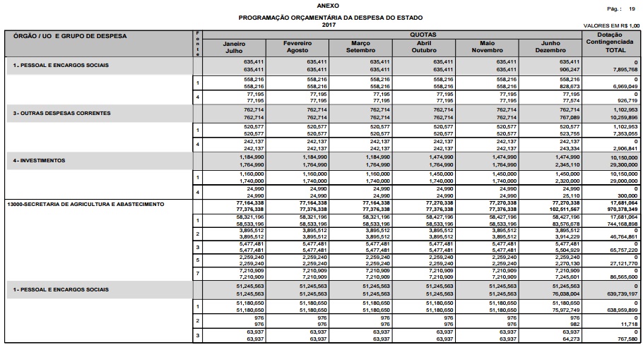
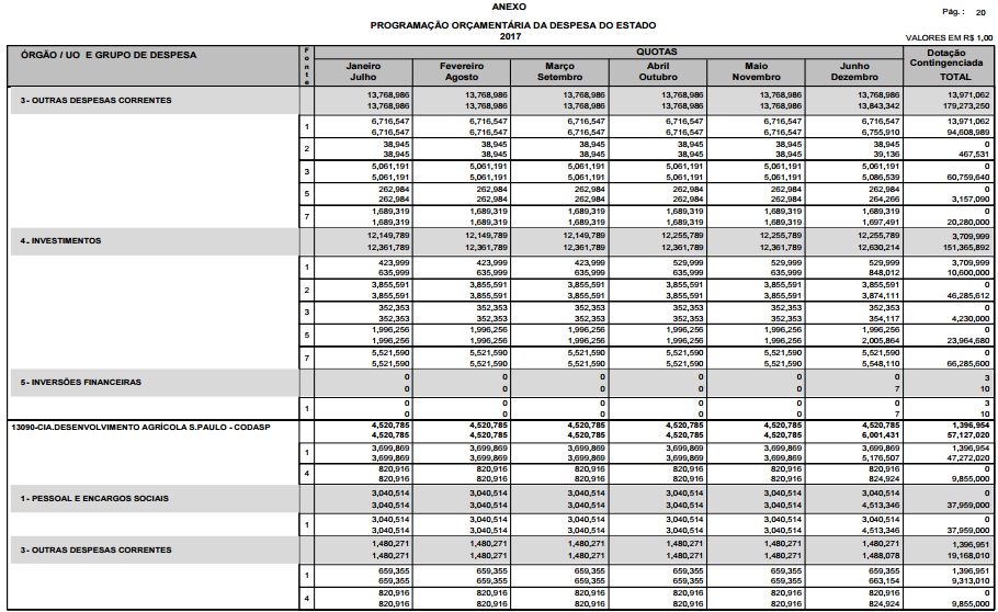
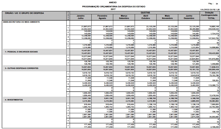
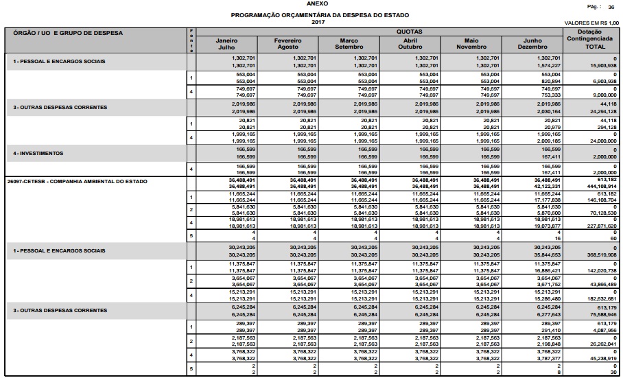
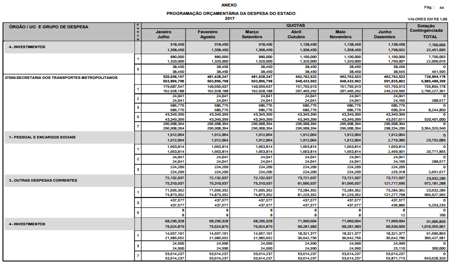
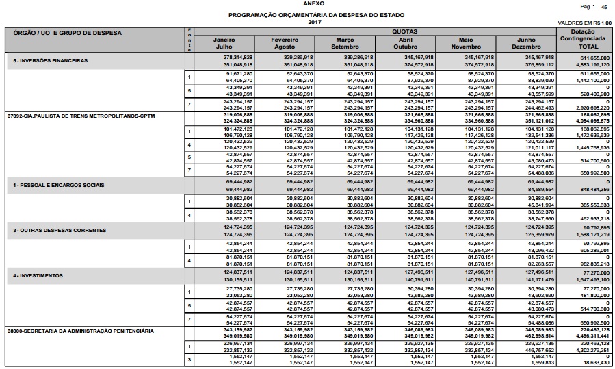
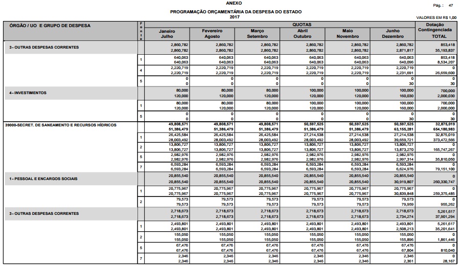
Artigo 7º - A Programação Orçamentária da Despesa do Estado é apresentada no Anexo deste decreto e reflete as dotações estabelecidas no orçamento aprovado pela Lei nº 16.347, de 29 de dezembro de 2016, distribuídas em quotas, sendo uma contingenciada e as demais, mensais, correspondendo aos limites orçamentários, compatibilizados com as projeções das disponibilidades do Tesouro Estadual para o exercício.
§ 1º - A distribuição das dotações orçamentárias, por quotas, do Anexo, será automaticamente disponibilizada no SIAFEM/SP com o seguinte detalhamento:
1. classificação institucional por Unidade Orçamentária;
2. classificação da despesa por natureza até o nível de grupo;
3. fonte de recursos.
§ 2º - A distribuição das quotas mensais das Unidades Gestoras Orçamentárias para as Unidades Gestoras Executoras será mediante Nota de Lançamento.
Artigo 8º - Os recursos próprios de Autarquias, Fundações e Sociedades de Economia Mista, classificadas como dependentes, os recursos vinculados e as dotações disponíveis às Universidades Estaduais e à Fundação de Amparo à Pesquisa do Estado de São Paulo - FAPESP, deverão obedecer à distribuição de 1/12 (um doze avos) em cada quota mensal.
Artigo 9º - O limite de empenhamento mensal dos recursos próprios e vinculados, fixado na Programação Orçamentária da Despesa do Estado, poderá ser automaticamente ampliado mediante antecipação de quotas vincendas, limitadas ao valor do excesso de arrecadação verificado mensalmente e ao total orçado para o exercício.
Artigo 10 - As solicitações de alteração orçamentária e de alteração das quotas deverão ser formalizadas mediante a utilização do Sistema de Alteração Orçamentária - SAO, disponibilizado no sítio www.sao.sp.gov.br, observadas as normas estabelecidas pelas Secretarias de Planejamento e Gestão e da Fazenda.
Artigo 11 - As solicitações de crédito suplementar, nos termos do artigo 43, da Lei federal nº 4.320, de 17 de março de 1964 serão admitidas apenas se delas constar:
I - confirmação do excesso de arrecadação de recursos vinculados, operações de crédito e receitas próprias, ou constatada a existência de superávit financeiro apurado no balanço patrimonial do exercício anterior;
II - confirmação, em manifestação conclusiva do Grupo Setorial de Planejamento, Orçamento e Finanças Públicas, da insuficiência de recursos orçamentários após o uso de recursos próprios e a utilização dos mecanismos de alteração na distribuição de recursos internos, antecipação de quotas e de liberação da dotação contingenciada;
III - justificativa devidamente fundamentada da necessidade de crédito e da existência de recursos para compensação e, no caso da anulação de dotações orçamentárias, justificativa do órgão ou entidade para o cancelamento, acompanhada de demonstrativo da variação nas metas previstas nos projetos e atividades, objetos de alteração;
IV - estimativa dos impactos futuros nos programas e ações da unidade decorrentes da realização da despesa para a qual é solicitado o crédito;
V - memória de cálculo da projeção da receita de recursos diretamente arrecadados ou vinculados.
§ 1º - Para apuração do excesso de arrecadação ou do superávit financeiro de que trata o inciso I deste artigo deverá ser utilizado o “Sistema Integrado de Receita - SIR” disponibilizado no sítio www.fazenda.sp.gov.br.
§ 2º - Os recursos oferecidos para cobertura de alterações orçamentárias deverão estar obrigatoriamente disponíveis na Unidade Gestora Orçamentária antes do encaminhamento do pedido através do Sistema de Alteração Orçamentária - SAO e não poderão ser objeto de execução e de outras alterações orçamentárias durante a tramitação das alterações anteriores, sob pena de anulação da primeira.
§ 3º - O não cumprimento dos procedimentos dispostos neste artigo implicará na paralisação da análise do crédito ou, se for o caso, na devolução da solicitação ao órgão ou entidade de origem.
Artigo 12 - Os pedidos de créditos adicionais serão dirigidos à Secretaria de Planejamento e Gestão e estão condicionados aos resultados da arrecadação e da execução da despesa.
§ 1º - Para fins de cobertura dos créditos adicionais deverão ser indicados recursos, preferencialmente, na seguinte hierarquia:
I - os resultantes de anulação parcial ou total de dotações orçamentárias ou de créditos adicionais autorizados por lei;
II - os provenientes de excesso de arrecadação;
III - o superávit financeiro apurado em balanço patrimonial do exercício anterior;
IV - o produto de operações de crédito.
§ 2º - No primeiro semestre serão acolhidos apenas os pedidos de créditos suplementares com oferecimento de recursos decorrentes de anulação de dotações orçamentárias da fonte Tesouro do Estado.
§ 3º - Em caráter excepcional serão admitidos pedidos, previstos no parágrafo anterior, para atendimento de despesas com pessoal e reflexos, sentenças judiciárias e serviço da dívida, podendo as Secretarias de Planejamento e Gestão e da Fazenda ressalvar sua aplicação em outros casos mediante justificativa fundamentada do Órgão, ouvidos os ordenadores de despesa e o Grupo Setorial de Planejamento, Orçamento e Finanças Públicas ou unidade com atribuições equivalentes.
Artigo 13 - As despesas com restrições de remanejamento durante a execução orçamentária serão discriminadas em portaria conjunta das Secretarias de Planejamento e Gestão e da Fazenda e terão monitoramento e controle específicos.
Artigo 14 - As solicitações de créditos especiais destinados a despesas para as quais não haja dotação orçamentária específica, nos termos do artigo 43, da Lei federal nº 4.320, de 17 de março de 1964, serão admitidas apenas se delas constar os pareceres dos órgãos técnicos e da Consultoria Jurídica das
Secretarias de origem, manifestação conclusiva do Titular da Pasta, Exposição de Motivos e inclusão de minuta do projeto de lei de crédito especial, em conformidade com o disposto no Decreto 51.704, de 26 de março de 2007.
Artigo 15 - O acompanhamento dos produtos e ações aprovados na Lei Orçamentária de 2017 e modificações posteriores, bem como o registro dos resultados dos respectivos programas, serão efetuados no Sistema de Monitoramento do PPA - SimPPA, acessível no sítio www.planejamento.sp.gov.br .
Parágrafo único - Os gestores setoriais se obrigam a prestar informações quanto aos resultados de seus programas e a manter devidamente atualizado o sistema referido no “caput” deste artigo, requisito obrigatório para solicitação de alterações orçamentárias.
Artigo 16 - Os órgãos da Administração Direta, as Autarquias, as Fundações e as Sociedades de Economia Mista, classificadas como dependentes e as demais sociedades em que o Estado detenha, direta ou indiretamente, a maioria do capital social com direito a voto, deverão:
I - registrar e manter atualizadas no Sistema de Gerenciamento e Acompanhamento dos Projetos Prioritários - SIGA, as informações referentes à execução física, financeira e orçamentária dos projetos considerados prioritários, conforme definições da Secretaria de Planejamento e Gestão.
II - apresentar o cronograma de desembolso da dotação disponível para os projetos prioritários, em formulário eletrônico próprio que será disponibilizado pela Secretaria de Planejamento e Gestão.
Parágrafo único - O preenchimento dos instrumentos referidos nos incisos I e II deste artigo, é obrigatório, seja quanto ao conteúdo ou quanto aos prazos, constituindo-se em pré-requisito para atendimento de solicitações de alterações orçamentárias.
Artigo 17 - As Sociedades de Economia Mista, classificadas como dependentes e as demais sociedades em que o Estado detenha, direta ou indiretamente, a maioria do capital social com direito a voto, deverão fornecer mensalmente à Secretaria de Planejamento e Gestão, as informações relativas à execução financeira, utilizando-se do Sistema Orçamentário das Empresas - SOE, condição obrigatória para solicitação de alterações orçamentárias.
Artigo 18 - Os valores equivalentes às contribuições previdenciárias não repassados pelos órgãos e entidades estaduais à SÃO PAULO PREVIDÊNCIA - SPPREV serão deduzidos, pela Secretaria da Fazenda, das liberações financeiras do Tesouro do Estado, consoante previsto no artigo 17 , da Lei nº 16.291, de 20 de julho de 2016, que dispõe sobre as diretrizes orçamentárias para o exercício de 2017.
Parágrafo único - O procedimento previsto no “caput” é extensivo às contribuições relativas ao plano de benefícios de caráter previdenciário complementar, administrado pela Fundação de Previdência Complementar do Estado de São Paulo - SP-PREVCOM.
Artigo 19 - O artigo 1º do Decreto nº 41.165, de 20 de setembro de 1996, passa a vigorar com a seguinte redação:
“Artigo 1º - A celebração de contratos relativos à contratação de obras, à aquisição de material permanente e equipamentos, à contratação de serviços terceirizados e os contratos de gestão, com valor superior a R$ 10.000.000,00 (dez milhões de reais), dependerá de prévia manifestação do Secretário de Planejamento e Gestão quanto aos aspectos orçamentários e do Secretário da Fazenda quanto aos aspectos financeiros.”(NR)
Artigo 20 - Os órgãos e entidades da Administração Direta e Indireta do Estado devem, obrigatoriamente, consultar previamente o Cadastro Informativo dos Créditos não Quitados de Órgãos e Entidades Estaduais - CADIN ESTADUAL quando da celebração de quaisquer ajustes (acordos, contratos, convênios etc.), concessão de auxílios, incentivos, pagamentos ou repasses financeiros, nos termos do artigo 6º, da Lei nº 12.799 , de 11 de janeiro de 2008, regulamentada pelo Decreto nº 53.455 , de 19 de setembro de 2008.
Parágrafo único - Os contratos, convênios, acordos, ou quaisquer outros ajustes deverão conter cláusula específica condicionando os pagamentos ou a liberação de recursos à inexistência de registros em nome dos respectivos beneficiários junto ao CADIN ESTADUAL.
Artigo 21 - Antes da celebração ou assinatura de convênios ou quaisquer outros tipos de avenças com entidades da sociedade civil sem fins lucrativos, as Unidades Gestoras, de que trata o artigo 3º deste Decreto, deverão obrigatoriamente cumprir, no âmbito de suas atribuições, o disposto no Decreto nº 57.501, de 8 de novembro de 2011, regulamentado pela Resolução CC-6 , de 14 de janeiro de 2013.
Artigo 22 - Em cumprimento ao disposto no § 1º do artigo 21, da Lei nº 16.291, de 20 de julho de 2016 que dispõe sobre as Diretrizes Orçamentárias para 2017, os órgãos e entidades da Administração Direta e Indireta que, na fase de elaboração da Proposta Orçamentária de 2017, apropriaram parcela de dotações de investimentos na categoria “a definir” deverão, por ocasião do empenhamento, seguir os procedimentos estabelecidos pelas Secretarias do Planejamento e Gestão e da Fazenda.
Artigo 23 - Os recursos decorrentes da desvinculação de receitas de que trata a Emenda Constitucional nº 93, de 08 de setembro de 2016, serão codificados em fonte específica 006.006.093 - Recursos DREM E.C. 93/2016 e classificados orçamentariamente como Outras Receitas Correntes, no código 1990995 - Receitas Desvinculadas DREM E.C. 93/2016.
§ 1º - Os valores das receitas desvinculadas deverão ser recolhidos à conta única do Tesouro.
§ 2º - As despesas custeadas com recursos de que o trata o “caput” deste artigo serão executadas na mesma fonte específica de receita.
Artigo 24 - Para cumprimento do disposto neste decreto ficam estabelecidas as seguintes atribuições:
I - à Secretaria da Fazenda:
a) detalhar a receita e aprovar sua alteração, de acordo com o parágrafo único, do artigo 3º da Lei nº 16.347, de 29 de dezembro de 2016;
b) manifestar-se quanto aos efeitos de ordem financeira decorrentes da concessão de créditos adicionais;
c) manifestar-se quanto ao provável excesso de arrecadação de recursos vinculados, operações de crédito e receitas próprias, bem como sobre o superávit financeiro apurado no balanço patrimonial do exercício anterior;
d) decidir sobre os pedidos de transposição de quotas;
e) fixar diretrizes para o processamento da despesa de pessoal dos órgãos da Administração Direta do Estado;
f) normatizar sobre procedimentos de execução orçamentária, contábil e financeira no SIAFEM/SP;
g) decidir, em conjunto com a Secretaria de Planejamento e Gestão sobre antecipação de quotas e liberação da dotação contingenciada, assim como sobre casos especiais;
II - à Secretaria de Planejamento e Gestão:
a) manifestar-se quanto ao mérito dos pedidos de créditos adicionais, observadas as prioridades governamentais;
b) propor ao Governador, abertura de créditos adicionais;
c) submeter à aprovação do Governador a instituição ou supressão de unidades orçamentárias e unidades de despesa;
d) decidir sobre os pedidos de reprogramação entre elementos;
e) normatizar sobre procedimentos de execução e acompanhamento orçamentário da despesa de programas, atividades e projetos;
f) decidir, em conjunto com a Secretaria da Fazenda sobre antecipação de quotas e liberação da dotação contingenciada, assim como sobre casos especiais.
Artigo 25 - Os Secretários de Estado e os ordenadores de despesa são responsáveis pela observância do cumprimento das disposições legais aplicáveis à matéria de que trata este decreto, especialmente da Lei federal nº 4.320, de 17 de março de 1964;
da Lei Complementar federal nº 101, de 4 de maio de 2000 e da Lei nº 16.291, de 20 de julho de 2016, que dispõe sobre as Diretrizes Orçamentárias para o exercício de 2017.
Artigo 26 - Em decorrência do disposto neste decreto, fica vedada aos órgãos, fundos e entidades do Poder Executivo que integram os Orçamentos Fiscal e da Seguridade Social do Estado, a realização de despesa ou a assunção de compromissos que não estejam compatíveis com os limites disponíveis e os cronogramas estabelecidos, conforme estabelece o artigo 176, “caput”, inciso II, da Constituição do Estado.
Artigo 27 - Para efeito de assegurar o cumprimento dos artigos 35 e 171 da Constituição do Estado, o disposto neste decreto aplica-se, no que couber, aos órgãos dos Poderes Legislativo e Judiciário, ao Ministério Público, à Defensoria Pública do Estado e ao Tribunal de Contas do Estado.
Artigo 28 - Com vistas ao cumprimento das metas fiscais e no intuito de assegurar a adequação da execução orçamentária e financeira às disponibilidades de caixa do Tesouro Estadual, as Secretarias de Planejamento e Gestão e da Fazenda, no âmbito de suas atribuições, revisarão quadrimestralmente a programação orçamentária e financeira e editarão normas específicas sobre a sua execução no exercício, devendo ainda adotar as providências necessárias ao cumprimento do disposto neste decreto, bem como na Lei Complementar federal nº 101, de 4 de maio de 2000.
Artigo 29 - Este decreto entra em vigor na data de sua publicação, retroagindo seus efeitos a 1º de janeiro de 2017.
Palácio dos Bandeirantes, 6 de janeiro de 2017
GERALDO ALCKMIN
Helcio Tokeshi
Secretário da Fazenda
Marcos Antonio Monteiro
Secretário de Planejamento e Gestão
Samuel Moreira da Silva Junior
Secretário-Chefe da Casa Civil
Saulo de Castro Abreu Filho
Secretário de Governo
Publicado na Secretaria de Governo, aos 6 de janeiro de 2017.
No anexo leia-se como segue e não como constou:
ANEXO A QUE SE REFERE O ARTIGO 7º DO DECRETO Nº 62.413, DE 6 DE JANEIRO DE 2017






















































