O GOVERNADOR DO ESTADO DE SÃO PAULO:
Faço saber que a Assembléia Legislativa decreta e eu promulgo a seguinte lei complementar:
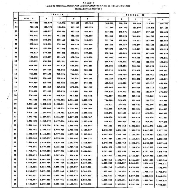
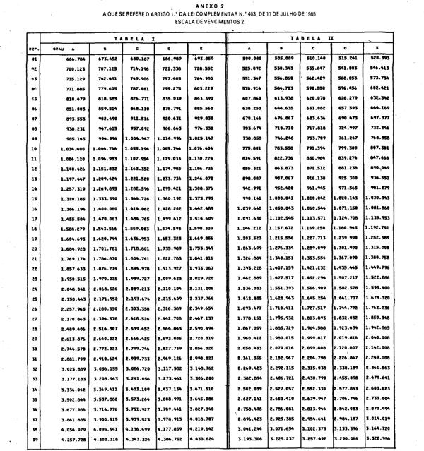
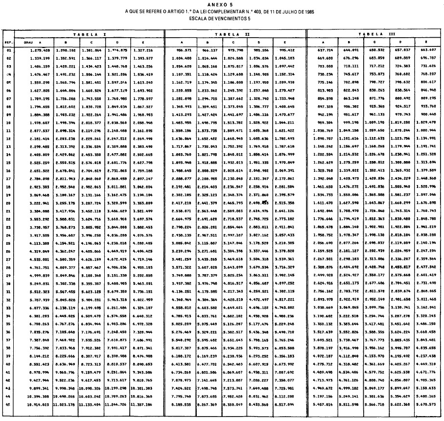
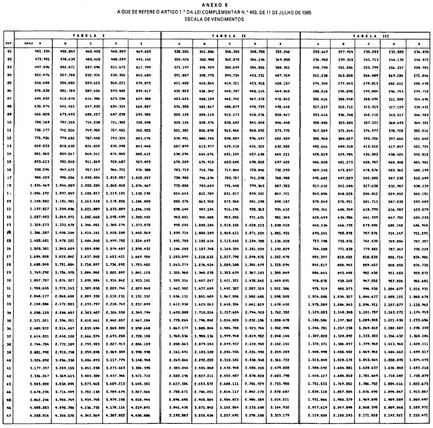
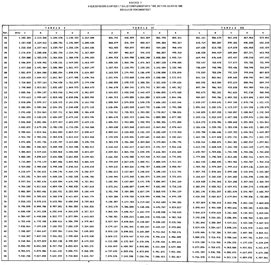
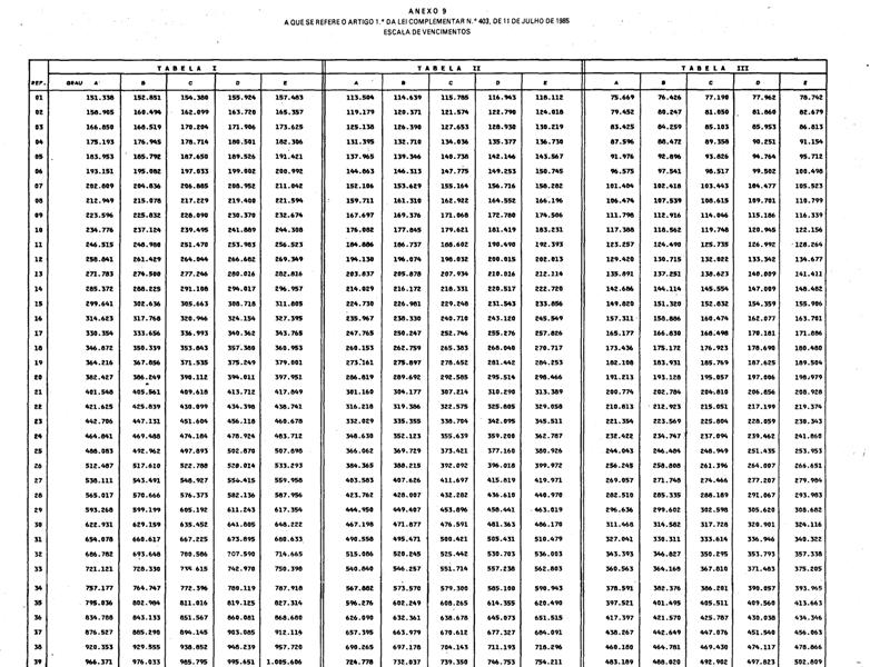
Artigo 1º - Os valores das Escalas de Vencimentos a que se referem os artigos 1º a 4º da Lei Complementar nº 323, de 14 de julho de 1983, com as alterações efetuadas nos termos do artigo 1º da Lei Complementar nº 394, de 14 de junho de 1985, aplicáveis aos funcionários, servidores e inativos da Administração Centralizada e das Autarquias do Estado, ficam reajustados na conformidade dos anexos 1 a 13 que fazem parte integrante desta lei complementar.
Artigo 2º - Os valores do salário-família e do salário-esposa ficam fixados em Cr$ 16.650 (dezesseis mil, seiscentos e cinquenta cruzeiros).
Artigo 3º - O vencimento mensal de Secretário de Estado fica reajustado em 89,3% (oitenta e nove inteiros e três décimos por cento), índice de aumento geral para o período do 2º semestre de 1985.
Artigo 4º - O disposto nesta lei complementar aplica-se também aos funcionários e servidores, inclusive inativos, dos Quadros do Tribunal de Justiça e das Secretarias do Tribunal de Justiça, do Primeiro e Segundo Tribunal de Alçada Civil, do Tribunal de Alçada Criminal, do Tribunal de Justiça Militar, do Tribunal de Contas, bem como do Quadro da Secretaria da Assembléia Legislativa, cujos vencimentos, salários ou proventos são calculados com base nas Escalas de Vencimentos referidas no artigo 1º.
Artigo 5º - Para atender às despesas decorrentes da aplicação desta lei complementar, fica o Poder Executivo autorizado a abrir créditos suplementares até o limite de Cr$ 3.420.000.000.000 (três trilhões e quatrocentos e vinte bilhões de cruzeiros), mediante utilização de recursos nos termos do '§ 1º do artigo 43 da Lei federal nº 4.320, de 17 de março de 1964.
Parágrafo Único - Fica, ainda, o Poder Executivo autorizado a promover, se necessário, remanejamento de dotações específicas ao atendimento de despesas com pessoal e reflexos.
Artigo 6º - Esta lei complementar e sua Disposição Transitória entrarão em vigor na data de sua publicação, produzindo efeitos a partir de 1º de julho de 1985.
Artigo único - A partir de 1º de julho de 1985, o funcionário ou servidor da Administração Centralizada e das Autarquias do Estado fará jus a um abono mensal na seguinte conformidade:
I - quando, em jornada completa de trabalho, o funcionário ou servidor perceber retribuição mensal inferior a Cr$ 667.000 (seiscentos e sessenta e sete mil cruzeiros), o abono mensal será de valor correspondente à diferença entre esses valores;
II - quando, em jornada comum de trabalho o funcionário ou servidor perceber retribuição mensal inferior a Cr$ 500.250 (quinhentos mil, duzentos e cinquenta cruzeiros), o abono mensal será de valor correspondente à diferença entre esses valores;
III - quando, em jornada inferior a 30 (trinta) horas semanais de trabalho, o funcionário ou servidor perceber restrições mensal inferior a Cr$ 333.500 (trezentos e trinta e três mil e quinhentos cruzeiros), o abono mensal será de valor correspondente à diferença entre esses valores.
§ 1º - Para efeito do disposto neste artigo, serão consideradas todas as vantagens pecuniárias percebidas pelo funcionário ou servidor, exceto o salário-família, o salário-esposa, a sexta-parte dos vencimentos e as gratificações de representação.
§ 2º - O abono de que trata este artigo será computado para cálculo de gratificação de Natal.
§ 3º - O abono de que trata este artigo não se incorporará aos vencimentos ou salários, nem será considerado para efeito de cálculo de quaisquer vantagens.
§ 4º - O disposto neste artigo, nas mesmas bases e condições, aplica-se:
1. no cálculo dos proventos do inativo;
2. no cálculo de retribuição-base para determinação do valor da pensão mensal devida pelo Instituto de Previdência do Estado de São Paulo.
Palácio dos Bandeirantes, 11 de julho de 1985.
FRANCO MONTORO
José Carlos Dias
Secretário da Justiça
Marcos Giannetti da Fonseca
Secretário da Fazenda
Nelson Mancini Nicolau
Secretário de Agricultura e Abastecimento
João Oswaldo Leiva
Secretário de Obras e do Meio Ambiente
Adriano Murgel Branco
Secretário dos Transportes
Paulo Renato Costa Souza
Secretário da Educação
Otávio Azevedo Mercadante
Respondendo pelo Expediente da Secretaria da Saúde
Michel Miguel Elias Temer Lulia
Secretário da Segurança Pública
Carlos Alfredo de Souza Queiróz
Secretário da Promoção Social
Caio Sérgio Pompeu de Toledo
Secretário de Esportes e Turismo
Luiz Benedicto Máximo
Secretário de Relações do Trabalho
Antônio Carlos Mesquita
Secretário da Administração
José Serra
Secretário de Economia e Planejamento
Chopin Tavares de Lima
Secretário do Interior
Almino Monteiro Alvares Affonso
Secretário dos Negócios Metropolitanos
Jorge Cunha Lima
Secretário da Cultura
Einar Alberto Kok
Secretário da Indústria, Comércio, Ciência e Tecnologia
José Gregori
Secretário Extraordinário de Descentralização e Participação
Gilda Figueiredo Portugal Gouvêa
Respondendo pelo Expediente da Secretaria do Governo
Publicada na Assessoria Técnico-Legislativa, aos 11 de julho de 1985.











