O GOVERNADOR DO ESTADO DE SÃO PAULO:
Faço saber que a Assembléia Legislativa decreta e eu promulgo a seguinte lei:
Artigo 1.º - Em conformidade com o artigo 174, inciso II e § 2.°, da Constituição do Estado e com o artigo 3.°, inciso I, do Ato das Disposições Transitórias, esta lei fixa as diretrizes orçamentárias para o exercício de 2001.
Artigo 2.º - O projeto de lei orçamentária anual do Estado para 2001 será elaborado em observância às diretrizes fixadas nesta lei, ao artigo 174 da Constituição do Estado, a Lei federal n.° 4.320, de 17 de março de 1964 e, em especial, ao equilíbrio entre receitas e despesas.
Artigo 3.º - A proposta orçamentária do Estado para 2001 será elaborada de forma compatível com o Plano Plurianual e com a presente lei e conterá:
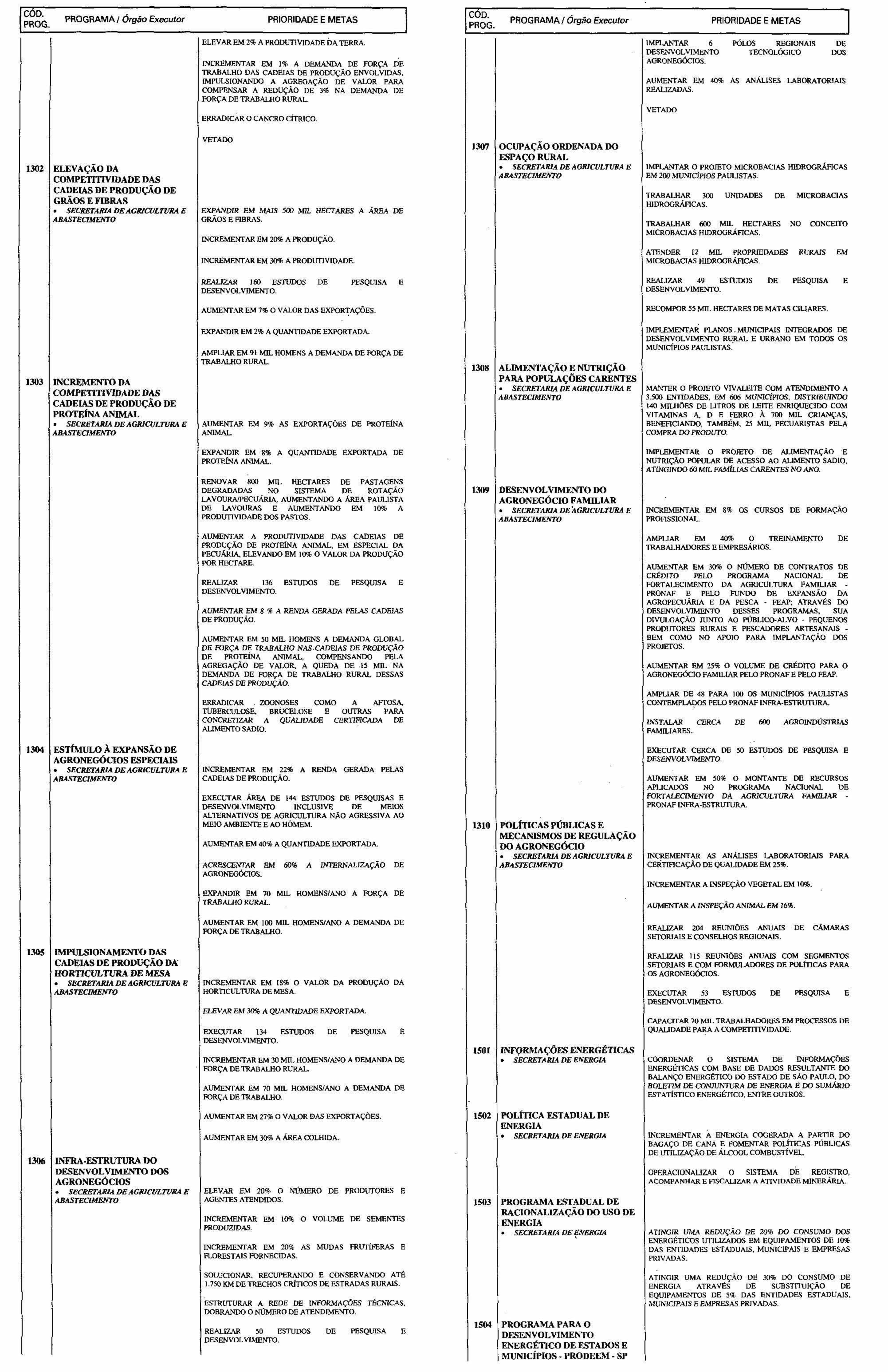
I - em anexo, demonstrativo da compatibilidade dos programas da administração pública estadual com suas respectivas prioridades e metas previstas no anexo desta lei;
II - em anexo, demonstrativo de efeito, sobre as receitas e despesas, decorrentes de isenções, anis tias, remissões, subsídios e benefícios de natureza financeira, tributária e creditária;
III - em anexo, demonstrativo das medidas de compensação a renúncia de receitas e ao aumento de despesas obrigatórias de caráter continuado;
IV - reserva de contingência, na forma definida na presente lei;
V - os programas de duração continuada, inclusive de investimentos, buscando a melhoria e universalização dos serviços públicos;
VI - as ações de manutenção dos órgãos da administração pública estadual, nas quais as despesas relativas a pessoal serão fixadas tendo como parâmetro o montante a ser gasto no exercício de 2000 e levando-se em consideração a previsão de crescimento vegetativo da folha de pagamento.
Artigo 4.º - O Poder Legislativo, o Poder Judiciário, o Ministério Público e as Universidades Esta duais encaminharão ao Poder Executivo suas pro postas orçamentárias para 2001, observadas as determinações contidas nesta lei, até o último dia útil do mês de julho de 2000.
Artigo 5.º - Os valores dos orçamentos das Universidades Estaduais serão fixados na proposta orçamentária do Estado para 2001, devendo as libe rações mensais dos recursos do Tesouro respeitar, no mínimo, o percentual global de 9,57% (nove inteiros e cinqüenta e sete centésimos por cento) da arrecadação do Imposto sobre Operações Relativas a Circulação de Mercadorias e sobre Prestações de Serviços de Transporte Interestadual e Intermunicipal e de Comunicação - ICMS - Quota-Parte do Estado, no mês de referenda.
§ 1.º - À arrecadação prevista no "caput" do artigo serão adicionados 9,57% (nove inteiros e cinqüenta e sete centésimos por cento) das Transferências Correntes da União, decorrentes da desoneração do ICMS das exportações, energia elétrica e dos bens de ativos fixos, conforme dispõe a Lei Complementar n.° 87, de 13 de setembro de 1996, efetivamente realizadas.
§ 2.º - Vetado.
Artigo 6.º - As despesas com Pessoal deverão obedecer os limites estabelecidos na legislação.
Artigo 7.º - Os valores de receita e de despesa contidos na lei orçamentária anual e nos quadros que a integram serão expressos em reais (R$).
Artigo 8.º - As receitas próprias das autarquias, fundações e sociedades em que o Estado detenha, direta ou indiretamente, a maioria do capital social com direito a voto, deverão ser, prioritariamente, destinadas ao atendimento de suas despesas de custeio, incluindo pessoal e encargos sociais, e dos respectivos serviços da dívida.
Artigo 9.º - O orçamento fiscal e o orçamento de investimentos das sociedades em que o Estado detenha, direta ou indiretamente, a maioria do capital social com direito a voto terão entre as suas funções a de reduzir as desigualdades inter-regionais, na conformidade do disposto no § 7.° do artigo 174 da Constituição do Estado.
Artigo 10. - Os créditos suplementares abertos por decreto do Executivo, quando destinados a suprir insuficiências nas dotações orçamentárias, relativos a inativos e pensionistas, honras de aval, débitos constantes de precatórios judiciais, serviços da dívida pública, despesas de exercícios anteriores e despesas à conta de recursos vinculados, não onerarão o limite autorizado na lei orçamentária.
Artigo 11. - Vetado.
Artigo 12. - A proposta orçamentária do Estado para 2001 observará o que dispõe esta lei e será encaminhada pelo Poder Executivo à Assembléia Legislativa até 30 de setembro de 2000, contendo:
I - mensagem;
II - projeto de lei orçamentária;
III - demonstrativo dos efeitos sobre as receitas e as despesas, de isenções, anistias, remissões, subsídios e benefícios de natureza financeira, tributária e creditícia.
Artigo 13. - A mensagem que encaminhar o projeto de lei orçamentária anual deverá explicitar:
I - as eventuais alterações, de qualquer natureza, e as respectivas justificativas, em relação às determinações contidas nesta lei;
II - os critérios adotados para estimativa das fontes de recursos para o exercício;
III - os recursos destinados a manutenção e ao desenvolvimento do ensino, na forma do disposto no artigo 255 da Constituição do Estado;
IV - a compatibilização das prioridades constantes da proposta orçamentária com as aprovadas nesta lei.
Artigo 14. - A proposta orçamentária será organizada segundo a classificação funcional da despesa, por função e subfunção, combinadas com os programas definidos no Plano Plurianual, e respectivas ações, refletidas nas atividades e projetos, de acordo com a Portaria n.° 42, de 14 de abril de 1999, do Ministério do Orçamento e Gestão.
Parágrafo único - As metas dos programas de que trata este artigo, detalhadas no anexo desta lei, estarão condicionadas aos limites permitidos pela receita prevista.
Artigo 15. - Na ausência da lei complementar prevista no artigo 174, § 9.°, itens 1 e 2 da Constituição do Estado, integrarão a lei orçamentária anual os seguintes demonstrativos:
I - da receita por fonte e da despesa por categoria econômica e grupo de despesa, segundo os orçamentos;
II - da despesa até o nível de atividade e de projeto, segundo os grupos de despesa, por órgão da administração direta, autarquia e fundação, e por unidade orçamentária, identificando as fontes de recursos;
III - das receitas previstas para as fundações e as autarquias;
IV - das dotações a conta do Tesouro, destinadas a transferências para as sociedades em que o Estado detenha, direta ou indiretamente, a maioria do capital social com direito a voto.
Artigo 16. - A fixação dos valores das dotações orçamentárias destinadas às despesas de pessoal e encargos deverá considerar os quadros de cargos e funções a que se refere o artigo 115, § 5.°, da Constituição do Estado, observado o limite estabelecido na Lei Complementar federal n.° 96, de 31 de maio de 1999.
Artigo 17. - O orçamento de investimentos das sociedades em que o Estado detenha, direta ou indiretamente, a maioria do capital social com direito a voto deverá orientar-se pelas disposições desta lei e compreenderá as ações destinadas:
I - ao planejamento, gerenciamento e execução de obras;
II - a aquisição de imóveis ou bens de capital;
III - a aquisição de instalações, equipamentos e material permanente.
Parágrafo único - O orçamento de que trata este artigo conterá:
1 - demonstrativo geral contendo o valor global do investimento por sociedade em que o Estado detenha, direta ou indiretamente, a maioria do capital social com direito a voto e os valores das suas fontes de recursos;
2 - demonstrativo geral contendo os valores dos investimentos por função e as respectivas fontes de recursos;
3 - demonstrativo especifico dos investimentos por sociedade em que o Estado detenha, direta ou indiretamente, a maioria do capital social com direito a voto, contendo os valores por projeto e as respectivas fontes de recursos;
4 - descrição especifica por sociedade em que o Estado detenha, direta ou indiretamente, a maioria do capital social com direito a voto, contendo a respectiva base legal de constituição, a indicação do órgão ao qual está vinculada e sua composição acionária.
Artigo 18. - Os recursos à conta do Tesouro do Estado destinados as sociedades em que o Estado detenha, direta ou indiretamente, a maioria do capital social com direito a voto, serão previstos no orçamento fiscal sob as formas de subscrição de ações, contribuição corrente e subvenção econômica.
§ 1.º - Os recursos do Tesouro do Estado repassados às sociedades em que o Estado detenha, direta ou indiretamente, a maioria do capital social com direito a voto, sob a forma de subscrição de ações, serão destinados às despesas de investimento e serviço da dívida.
§ 2.º - Os recursos do Tesouro do Estado repassados às sociedades em que o Estado detenha, direta ou indiretamente, a maioria do capital social com direito a voto, sob a forma de contribuição corrente, serão destinados a complementação de benefícios referentes ao pagamento de proventos a inativos e pensionistas, beneficiados pelas Leis n.º 4.819, de 26 de agosto de 1958, n.º 200, de 13 de maio de 1974, n.º 8.236, de 19 de janeiro de 1993 e n.º 9.466, de 27 de dezembro de 1996.
§ 3.º - Os recursos do Tesouro do Estado repassados às sociedades em que o Estado detenha, direta ou indiretamente, a maioria do capital social com direito a voto, sob a forma de subvenção econômica, serão destinados a cobertura de despesas de custeio.
Artigo 19. - Vetado.
§ 1.º - Vetado.
§ 2.º - Vetado.
§ 3.º - Vetado.
§ 4.º - Vetado.
§ 5.º - Vetado.
§ 6.º - Vetado.
§ 7.º - Vetado.
§ 8.º - Vetado.
Artigo 20. - As despesas com publicidade deverão ser destacadas na classificação funcional de cada órgão, sob denominação que permita sua clara identificação.
Artigo 21. - Serão previstas na lei orçamentária anual as despesas com pessoal específicas para formação, treinamento, desenvolvimento, reciclagem, certames, provas e concursos, tendo em vista as disposições legais relativas a promoção, acesso e outras formas de modalidade funcional previstas nas leis que instituírem os Planos de Cargos e Salários e os Planos de Carreiras do Estado.
Artigo 22. - Vetado:
I - vetado;
II - vetado;
III - vetado;
IV - vetado;
.V - vetado.
Artigo 23. - Serão previstas na lei orçamentária anual as receitas correspondentes aos recursos oriundos das concessões e privatizações, na forma de receitas de capital.
Artigo 24. - Na proposta orçamentária para o exercício de 2001, as obras com índice de execução acima de 30% (trinta por cento) do valor inicialmente contratado, serão consideradas prioritárias.
Artigo 25. - O Poder Executivo enviará a Assembléia Legislativa projetos de lei dispondo sobre alterações na legislação tributária, especialmente sobre:
I - instituição e regulamentação da Contribuição de Melhoria, decorrente de obras públicas;
II - revisão das taxas, objetivando sua adequação ao custo dos serviços prestados;
III - revisão das alíquotas do ICMS, inclusive para proporcionar a geração de recursos destinados a programas habitacionais voltados a população de baixa renda;
IV - modificação na legislação do Imposto sobre a Propriedade de Veículos Automotores - IPVA, objetivando a adequação dos prazos de recolhimento, atualização da tabela dos valores venais dos veículos e alteração de alíquotas;
V - aperfeiçoamento do sistema de fiscalização, cobrança e arrecadação dos tributos;
VI - Imposto sobre Transmissão "Causa Mortis" e Doação, de quaisquer bens ou direitos;
VII - cobrança pelo uso dos recursos hídricos;
VIII - revisão das alíquotas do ICMS, permitindo, inclusive, a aplicação de progressividade e acréscimo de recursos para priorizar a área social;
IX - adoção de medidas que permitam conceder incentivos fiscais de contribuintes do Estado de São Paulo, bem como a contribuintes que tenham a intenção de se instalar em território paulista, equiparados aos que venham a ser concedidos pelas unidades da Federação, visando o desenvolvimento econômico.
Parágrafo único - A alteração na legislação do imposto de que trata o inciso VI deste artigo objetivará torná-lo progressivo, em obediência ao disposto nos artigos 160 e 166 da Constituição do Estado.
Artigo 26. - As agências financeiras oficiais de fomento, que constituem o Sistema Estadual de Crédito, atuarão, prioritariamente, no apoio aos programas e projetos relacionados com os objetivos globais do Governo do Estado, nas políticas de desenvolvimento econômico, social e tecnológico.
§ 1.º - O Tesouro do Estado, observada sua capacidade financeira, poderá transferir ou repassar recursos ás agências oficiais para execução das políticas a que se refere este artigo.
§ 2.º - Os empréstimos e financiamentos concedidos pelas agências de fomento deverão garantir, no mínimo, a remuneração dos custos de captação e de administração dos recursos, ressalvados os casos disciplinados por legislação especifica.
§ 3.º - As agências de fomento poderão, dentro de suas disponibilidades, conceder crédito escolar educativo e bolsas-auxílio, através de recursos próprios e de recursos do Tesouro do Estado.
Artigo 27. - A administração da divida interna e externa contratada e a captação de recursos por órgãos ou entidades da administração pública estadual, obedecida a legislação em vigor, limitar-se-ão a necessidade de recursos para atender:
I - mediante operações e/ou doações, junto a instituições financeiras nacionais e internacionais, públicas e/ou privadas, organismos internacionais e órgãos ou entidades governamentais:
a) ao serviço da dívida interna e externa de cada órgão ou entidade;
b) aos investimentos definidos nas metas e prioridades do Governo do Estado;
c) ao aumento de capital das sociedades em que o Estado detenha, direta ou indiretamente, a maioria do capital social com direito a voto;
d) à antecipação de receita orçamentária;
II - mediante alienação de ativos:
a) ao atendimento de programas sociais;
b) ao ajuste do setor público e redução do endividamento;
c) a renegociação de passivos.
Artigo 28. - Na lei orçamentária anual, as despesas com amortizações, juros e demais encargos da divida, serão fixadas com base apenas nas operações contratadas ou com autorizações concedidas até a data do encaminhamento do projeto de lei orçamentária a Assembléia Legislativa.
Parágrafo único - O Poder Executivo encaminhará juntamente com a proposta orçamentária para 2001:
a) quadro detalhado para cada operação de crédito, incluindo credor, sistemática de reajuste e cronograma de pagamento de amortização e serviço da dívida;
b) quadros demonstrativos com os dados sobre a evolução da dívida pública estadual, interna e externa, fundada e flutuante, incluindo a previsão de pagamentos do serviço da dívida para 2001.
Artigo 29. - Na fixação da despesa e estimativa da receita, a lei orçamentária observará os seguintes princípios:
I - eficiência e eficácia na gestão dos recursos;
II - recuperação da capacidade do Estado na formulação de ações estratégicas;
III - melhoria na competitividade da economia paulista;
IV - ênfase na redução da desigualdade social e na geração de emprego e renda.
Artigo 30. - As sociedades em que o Estado detenha, direta ou indiretamente, a maioria do capital social com direito a voto e as fundações deverão buscar alternativas de financiamento, objetivando o desenvolvimento e expansão de suas atividades.
Parágrafo único - Os recursos do Tesouro do Estado, destinados as entidades referidas neste artigo, limitar-se-ão as atividades imprescindíveis não financiáveis.
Artigo 31. - Vetado.
Artigo 32. - Vetado.
Artigo 33. - É vedada a inclusão na lei orçamentária, bem como em suas alterações, de quaisquer recursos do Estado para complementação de aposentadorias e pensões da Carteira de Previdência das Serventias não Oficializadas da Justiça do Estado de São Paulo, da Carteira de Previdência dos Economistas de São Paulo e da Carteira de Previdência dos Advogados de São Paulo.
Artigo 34. - Não sendo encaminhado ao Poder Executivo o autógrafo da lei orçamentária até o inicio do exercício de 2001, fica esse Poder autorizado a realizar a proposta orçamentária até a sua aprovação e remessa pelo Poder Legislativo, na base de 1/12 (um doze avos) em cada mês.
Artigo 35. - Esta lei entra em vigor na data de sua publicação.
Palácio dos Bandeirantes, aos 19 de julho de 2000.
MÁRIO COVAS
Yoshiaki Nakano
Secretário da Fazenda
André Franco Montoro Filho
Secretário de Economia e Planejamento
João Caramez
Secretário - Chefe da Casa Civil
Antonio Angarita
Secretário do Governo e Gestão Estratégica
Publicada na Assessoria Técnico-Legislativa, aos 19 de julho de 2000.



















Retificação do D.O. de 20-7-2000
No anexo, leia-se como segue e não como foi publicado:

(Projeto de lei n.º 242, de 2000)
Partes vetadas pelo Senhor Governador do Estado e mantidas pela Assembléia Legislativa, do projeto que se transformou na Lei nº 10.616, de 19 de julho de 2000, que dispõe sobre as Diretrizes Orçamentárias para o exercido de 2001.
O Presidente da Assembléia Legislativa: Faço saber que a Assembléia Legislativa decreta e eu promulgo, nos termos do artigo 28, § 8º, da Constituição do Estado, os seguintes dispositivos da Lei nº 10.616, de 19 de julho de 2000, da qual passam a fazer parte integrante:
.....................................................................
Artigo 5° - ...................................................
.......................................................................
§ 2º - Os acréscimos de gastos das três Universidades Estaduais Paulistas com seus hospitais, aposentadorias e precatórios , a partir do Decreto na 29.598/89, poderão ser custeados pela destinação de recursos suplementares, observadas as conclusões dos estudos pertinentes a este fim.
...................................................................................................

Assembléia Legislativa do Estado de São Paulo, aos 20 de outubro de 2000.
a) VANDERLEI MACRIS - Presidente
Publicada na Secretaria da Assembléia Legislativa do Estado de São Paulo, aos 20 de Outubro de 2000.
a) Auro Augusto Caliman - Secretário Geral Parlamentar