O GOVERNADOR DO ESTADO DE SÃO PAULO:
Faço saber que a Assembléia Legislativa decreta e eu promulgo a seguinte lei:
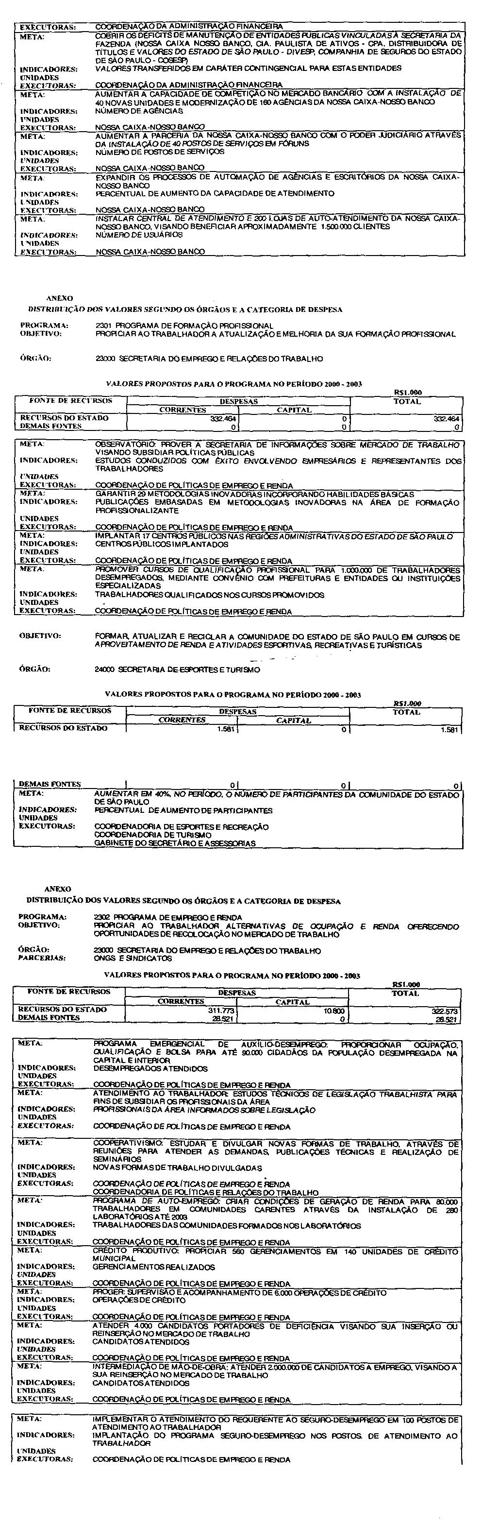
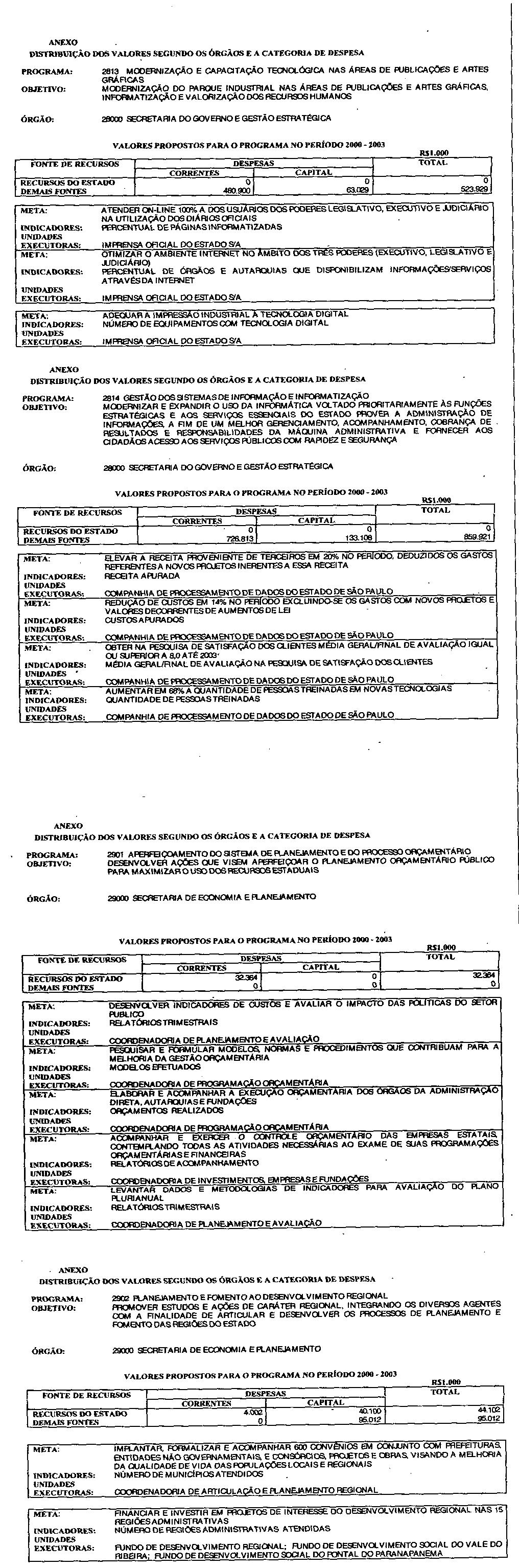
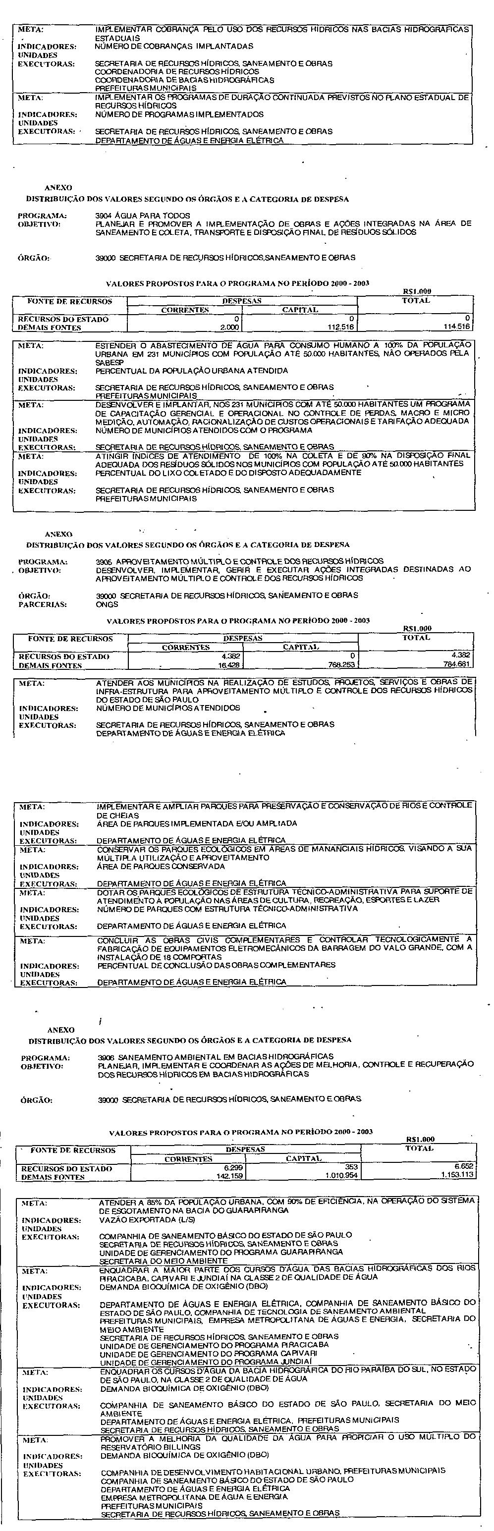
Artigo 1º - Esta lei institui o Plano Plurianual para o quadriênio 2000/2003, em cumprimento ao disposto no artigo 174, § 1º, da Constituição do Estado, estabelecendo, para o período, os programas com seus respectivos objetos, indicadores, custos e metas da administração pública estadual e dos demais Poderes do Estado para as despesas de capital e outras delas decorrentes e para as relativas aos programas de duração continuada, na forma do Anexo.
Artigo 2º - Os programas a que se refere o artigo anterior, definidos a partir das diretrizes gerais fixadas pela Portaria n.º 42 do Ministério do Orçamento e Gestão, de 14 de abril de 1999, são as unidades básicas de planejamento, articulação e gerenciamento das ações governamentais e se constituem no elo básico de integração entre os objetivos do Plano Plurianual, as propriedades e metas fixadas na Lei de Diretrizes Orçamentárias e a programação estabelecida no Orçamento Anual, correspondentes aos exercícios abrangidos pelo período do Plano.
Artigo 3º - O Poder Executivo submeterá para autorização legislativa as alterações nas diretrizes, objetivos e metas, constantes do Anexo desta lei.
Parágrafo único - O Poder Executivo realizará a atualização dos programas constantes desta lei ou de suas alterações, quando da elaboração de sua proposta de diretrizes orçamentárias, orientando o estabelecimento de prioridades e metas para o exercício
subseqüente.
Artigo 4º - Vetado.
§ 1º - Vetado.
§ 2º - Vetado.
§ 3º - Vetado.
§ 4º - Vetado.
Artigo 5º - Esta lei entra em vigor na data de sua publicação.
Palácio dos Bandeirantes, 8 de dezembro de 2000.
MÁRIO COVAS
André Franco Montoro Filho
Secretário de Economia e Planejamento
João Caramez
Secretário-Chefe da Casa Civil
Antonio Angarita
Secretário do Governo e Gestão Estratégica
Publicada na Assessoria Técnico-Legislativa, aos 8 de dezembro de 2000.







































































(Projeto de lei n.º 5, de 2000)
Partes vetadas pelo Senhor Governador do Estado e mantidas pela Assembléia Legislativa, do projeto que se transformou na Lei n.º 10.694, de 8 de dezembro de 2000, que dispõe sobre o Plano Plurianual para o período de 2000/2003
O Presidente da Assembléia Legislativa:
Faço saber que a Assembléia Legislativa decreta e eu promulgo, nos termos do artigo 28, § 8.º, da Constituição do Estado, os seguintes dispositivos da Lei n.º 10.694, de 8 de dezembro de 2000, da qual passam a fazer parte integrante:
...............................................................................................................................................................................................................................................
Artigo 4º - O processo de elaboração das leis orçamentárias contará com ampla participação popular, devendo o Poder Executivo promover audiência pública em cada região administrativa do Estado § 1º - O Poder Executivo publicará, através do Diário Oficial do Estado, o calendário das audiências públicas § 2º - As audiências serão divulgadas com antecedência mínima de quinze dias.
..............................................................................................................................................................................................................................................§ 4º - A Assembléia Legislativa poderá realizar debates públicos temáticos, através das Comissões Técnicas Permanentes, dos quais dará ampla divulgação pelo Diário Oficial e pela TV Assembléia.
...............................................................................................................................................................................................................................................
Assembléia Legislativa do Estado de São Paulo, aos 28 de setembro de 2001.
a) WALTER FELDMAN - Presidente
Publicada na Secretaria da Assembléia Legislativa do Estado de São Paulo, aos 28 de setembro de 2001.
a) Auro Augusto Caliman - Secretário Geral Parlamentar