O GOVERNADOR DO ESTADO DE SÃO PAULO:
Faço saber que a Assembléia Legislativa decreta e eu promulgo a seguinte lei complementar:
Artigo 1º - Os vencimentos, salários, valor-base de remuneração e proventos dos funcionários, servidores e inativos do Estado ficam reajustados em 16% (dezesseis por cento).
§ 1º - Os valores decorrentes do reajuste de que trata o “caput” deste artigo são os constantes dos Anexos I a XVII, na seguinte conformidade:
1. Anexo I - correspondente aos integrantes da classe de Agente Fiscal de Rendas, de que trata o inciso I do artigo 5º da Lei Complementar nº 567, de 20 de julho de 1988;
2. Anexo II - correspondente aos integrantes da carreira de Procurador do estado e dos Cargos em Comissão privativos de Procurador do Estado, de que trata o artigo 2º da Lei Complementar nº 560, de 15 de julho de 1988.
- Vide Anexos I e II da Lei nº 8.826, de 11/07/1994.
3. Anexo III - correspondente aos integrantes da carreira de Delegado de Polícia, de que trata o artigo 2º da Lei Complementar nº 545, de 24 de junho de 1988.
4. Anexo IV - correspondente à carreira de Delegado de Polícia de que trata o artigo 6º da lei Complementar nº 545, de 24 de junho de 1988;
5. Anexo V - correspondente aos integrantes das carreiras civis, de que trata o artigo 2º da Lei Complementar nº 675, de 5 de junho de 1992.
6. Anexo VI - correspondente aos integrantes da carreira de Agente de Segurança Penitenciária, de que trata o artigo 2º da Lei Complementar nº 684, de 22 de julho de 1992.
7. Anexo VII - correspondente aos componentes da Polícia Militar, a que se refere o artigo 1º da Lei Complementar nº 697, de 24 de novembro de 1992;
8. Anexo VIII - correspondente aos componentes da Polícia Militar, a que se refere o artigo 10 da Lei Complementar nº 546, de 24 de junho de 1988.
9. Anexo IX - correspondente, Arquiteto, Engenheiro, Agrônomo e Assistente Agropecuário, de que trata o § 1º do artigo 1º da Lei Complementar nº 540, de 27 de maio de 1988;
10. Anexo X - correspondente à Escala de Vencimentos - Quadro do Magistério, instituída pelo artigo 26-A da Lei Complementar nº 444, de 27 de dezembro de 1985, alterado pelo artigo 2º da Lei Complementar nº 645, de 27 de dezembro de 1989;
11. Anexo XI - correspondente aos servidores a que se refere ao artigo 1º da Lei nº 3.787, de 14 de julho de 1983;
12. Anexo XII - correspondente aos servidores a que se refere o artigo 1º da Lei nº 3.788, de 14 de julho de 1983;
13. Anexo XIII - correspondente aos funcionários, servidores e inativos que optaram pela permanência na situação retribuitória à Lei Complementar nº 247 de 6 de abril de 1981;
14. Anexos XIV e XV - correspondentes aos funcionários, servidores e inativos que estejam percebendo vencimentos, salários, remuneração e proventos calculados com base nas disposições do Decreto-lei Complementar nº 11, de 2 de março de 1970;
15. Anexo XVI e XVII - correspondentes aos funcionários, servidores e inativos que estejam percebendo vencimentos, salários, remuneração e proventos calculados com base na legislação anterior ao Decreto-lei Complementar nº 11, de 2 de março de 1970.
§ 2º - Os vencimentos, salários e proventos dos funcionários, servidores e inativos integrantes das classes e séries de classes adiante mencionadas, em decorrência de reclassificação e já computado o percentual de reajuste de que trata o “caput” deste artigo, são os fixados nos Anexos XVIII a XXXIII, na seguinte conformidade:
1. Anexos XVIII, XIX, XX e XXI - correspondentes às Escalas de Vencimentos Nível Elementar, Nível Intermediário, Nível Universitário e Comissão, instituídas pelo artigo 2º da Lei Complementar nº 674, de 8 de abril de 1992.
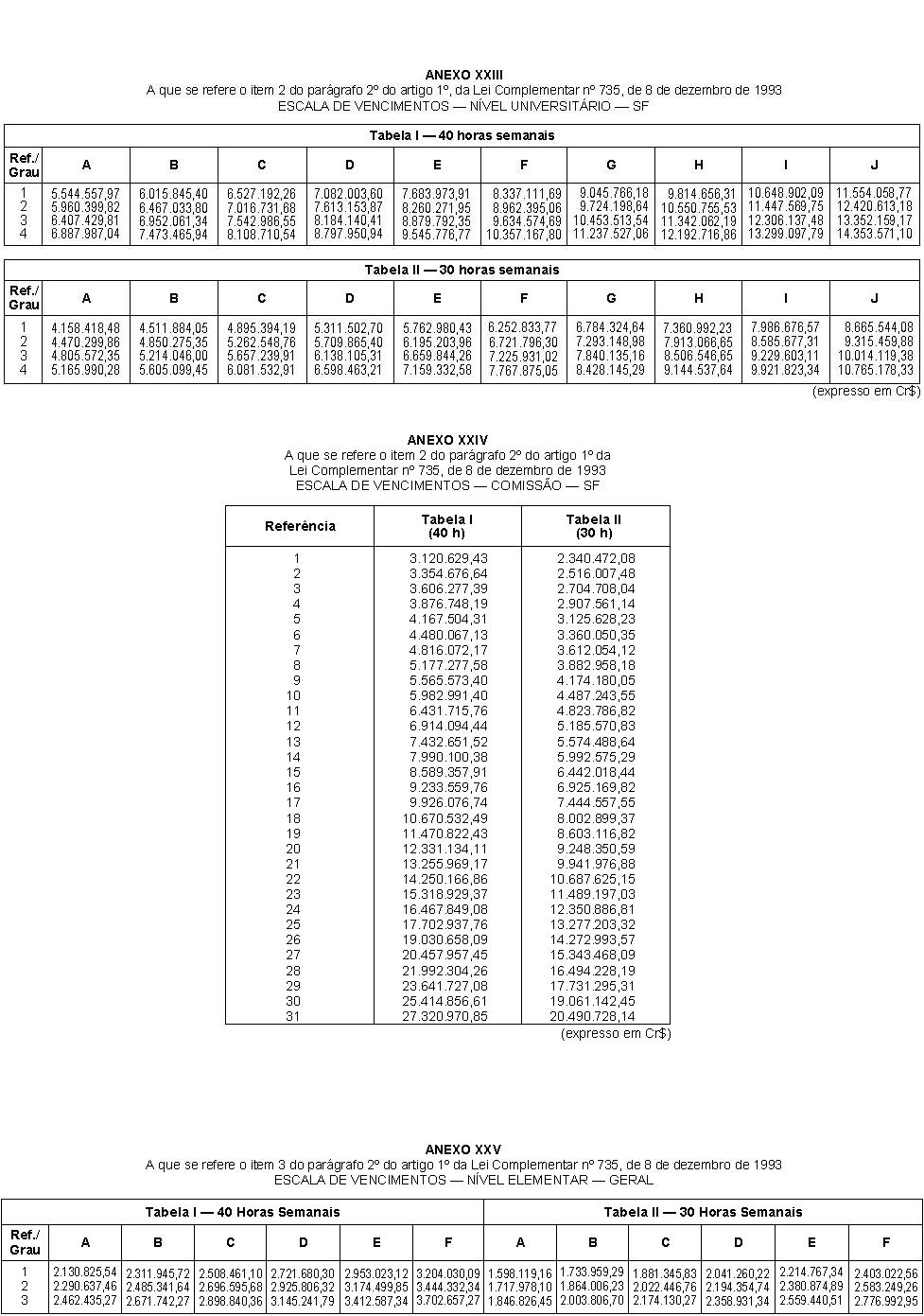
2. Anexos XXII, XXIII e XXIV - correspondentes às Escalas de Vencimentos Nível Intermediário Nível Universitário e Comissão, instituídas pelo artigo 7º da Lei Complementar nº 700, de 15 de dezembro de 1992.
3. Anexos XXV, XXVI, XXVII, XXVIII e XXIX - correspondentes às Escalas de Vencimentos Nível Elementar, Nível Intermediário, Nível Universitário, Comissão e Classes Executivas, instituídas pelo artigo 9º da Lei Complementar nº 712 de 12 de abril de 1993;
4. Anexos XXX - correspondentes aos integrantes das classes de Auxiliar de Apoio à Pesquisa Científica e Tecnológica, Oficial de Apoio à Pesquisa Científica e Tecnológica, Agente de Apoio à Pesquisa Científica e Tecnológica e de Técnico de Apoio à pesquisa Científica e Tecnológica, de que trata o artigo 7º da Lei complementar nº 661, de 11 de julho de 1991;
5. Anexos XXXI - correspondente aos integrantes da série de classes de Assistente Técnico de Pesquisa Científica e tecnológica, de que trata o artigo 6º da Lei Complementar nº 662, de 11 de julho de 1991;
6. Anexo XXXII - correspondente aos integrantes das classes de Auxiliar de Apoio Agropecuário, Oficial de Apoio Agropecuário; Agente de Apoio Agropecuário e Técnico de Apoio Agropecuário, de que trata o artigo 2º da Lei nº 7.951, de 16 de julho de 1992;
7. Anexo XXXIII - correspondente aos servidores, a que se refere ao artigo 21 da Lei nº 4.569 de 16 de maio, de 1985;
Artigo 2º - O valor da referência do cargo de Pesquisador Científico VI - PqC-6, em decorrência de reclassificação e computado o percentual de reajuste de que trata o artigo 1º, fica fixado em Cr$ 56.945.159,57 (cinqüenta e seis milhões, novecentos e quarenta e cinco mil, cento e cinqüenta e nove cruzeiros e cinqüenta e sete centavos);
Artigo 3º - O vencimento mensal de Secretário de Estado fica fixado em Cr$ 88.322.729,98 (oitenta e oito milhões, trezentos e vinte e dois mil, setecentos e vinte e nove cruzeiros e noventa e oito centavos).
Artigo 4º - Os valores das gratificações concedidas nos termos do artigo 1º da Lei nº 5.225, de 7 de julho de 1986, ficam reajustados na seguinte conformidade:
I - para os servidores que exercerem funções de nível universitário, enquadrados nas referências alfabéticas de A a Q;
a) Cr$ 35.713,80 (trinta e cinco mil, setecentos e treze cruzeiros e oitenta centavos), quando em jornada de 40 (quarenta) horas semanais de trabalho;
b) Cr$ 26.785,35 (vinte e seis mil, setecentos e oitenta e cinco cruzeiros e trinta e cinco centavos), quando em jornada de 30 (trinta) horas semanais de trabalho;
II - para os servidores enquadrados nas referências numéricas de I a XXXIII:
a) Cr$ 69.942,05 (sessenta e nove mil, novecentos e quarenta e dois cruzeiros), quando em jornada de 40 (quarenta) horas semanais de trabalho;
b) Cr$ 52.456,53 (cinqüenta e dois mil, quatrocentos e cinqüenta e seis cruzeiros e cinqüenta e três centavos), quando em jornada de 30 (trinta) horas semanais de trabalho;
Artigo 5º - Os valores da gratificação concedidas nos termos do artigo 1º da Lei nº 5.226, de 7 de julho de 1986, ficam reajustados na seguinte conformidade:
I - para os servidores que exercerem funções de nível universitário, enquadrados nas referências alfabéticas de A a Q:
a) Cr$ 35.713,80 (trinta e cinco mil, setecentos e treze cruzeiros e oitenta centavos), quando em jornada de 40 (quarenta) horas semanais de trabalho;
b) Cr$ 26.785,35 (vinte e seis mil, setecentos e oitenta e cinco cruzeiros e trinta e cinco centavos), quando em jornada de 30 (trinta) horas semanais de trabalho;
II - para os servidores enquadrados nas referências numéricas de I a XXXIII:
a) Cr$ 69.942,05 (sessenta e nove mil, novecentos e quarenta e dois cruzeiros), quando em jornada de 40 (quarenta) horas semanais de trabalho;
b) Cr$ 52.456,53 (cinqüenta e dois mil, quatrocentos e cinqüenta e seis cruzeiros e cinqüenta e três centavos), quando em jornada de 30 (trinta) horas semanais de trabalho;
Artigo 6º - O valor das pensões mensais concedidas aos participantes civis da Revolução Constitucionalista de 1932, de que trata a Lei nº 1.890, de 18 de dezembro de 1978, alterada pelas Leis nº 3.988, de 26 de dezembro de 1983, e 5.417, de 15 de dezembro de 1986, e o artigo 6º da Lei Complementar nº 519, de 1º de outubro de 1987, fica fixado em Cr$ 3.400.000,00 (três milhões e quatrocentos mil cruzeiros).
Parágrafo único - O disposto neste artigo aplica-se, também, aos beneficiários das pensões concedidas a mutilados civis da Revolução Constitucionalista de 1932, de que trata a Lei nº 3.242, de 16 de novembro de 1955, alterada pelas Leis nº 4.101, de 4 de setembro de 1957, 9.936, de 4 de dezembro de 1967 e 5.417 de 15 de dezembro de 1986.
Artigo 7º - O valor das pensões mensais vitalícias concedidas aos portadores de hanseníase, de que trata a Lei nº 1.907, de 20 de dezembro de 1978, alterada pelo artigo 21 da Lei Complementar nº 467, de 2 de julho de 1986 e pelo artigo 17 da Lei Complementar nº 581, de 20 de dezembro de 1988, fica fixado em Cr$ 3.400.000,00 (Três milhões e quatrocentos mil cruzeiros).
Artigo 8º - Quando, com o reajuste concedido por esta lei complementar, resultar retribuição global mensal inferior aos valores fixados nos incisos deste artigo, será concedido ao funcionário ou servidor um reajuste complementar, para que sua retribuição global mensal corresponda a esse valores, na seguinte conformidade:
I - Cr$ 3.800.000,00 (três milhões e oitocentos mil cruzeiros), quando em jornada completa de trabalho;
II - Cr$ 2.850.000,00 (dos milhões e oitocentos e cinqüenta mil cruzeiros), quando em jornada comum de trabalho;
III - Cr$ 1.900.000,00 ( um milhão e novecentos mil cruzeiros), quando em jornada de 20 (vinte) horas semanais de trabalho.
Parágrafo único - Para fins do disposto neste artigo, considera-se retribuição global mensal a somatória de todos os valores percebidos pelo servidor, em caráter permanente, tais como o vencimento, a remuneração, o salário, as gratificações incorporadas ou não e as demais vantagens pecuniárias, não eventuais, asseguradas pela legislação, executados apenas o salário-família, o salário-esposa, o adicional por tempo de serviço, a Sexta-parte, o adicional de insalubridade, a gratificação por trabalho noturno e adicional noturno.
Artigo 9º - O valor do salário-família fica fixado na seguinte conformidade:
I - Cr$ 44.660,00 (quarenta e quatro mil, seiscentos e sessenta cruzeiros), por dependente, quando a retribuição global mensal percebida pelo funcionário ou servidor igual ou inferior a Cr$ 5.532.000,00 (cinco milhões, quinhentos e trinta e dois mil cruzeiros);
II - Cr$ 7.500,00 (sete mil e quinhentos cruzeiros), por dependente, quando a retribuição global mensal percebida pelo funcionário ou servidor for superior a Cr$ 5.532.000,00 (cinco milhões, quinhentos e trinta e dois mil cruzeiros);
Parágrafo único - Para fins do disposto neste artigo, considera-se retribuição global mensal a somatória de todos os valores percebidos pelo servidor, em caráter permanente, tais como o vencimento, a remuneração, o salário, o adicional por tempo de serviço, a Sexta-parte, as gratificações incorporadas ou não e as demais vantagens pecuniárias, não eventuais, asseguradas pela legislação, executados apenas o salário-família, o salário-esposa o auxílio-transporte o adicional de transporte as diárias, a diária de alimentação, a ajuda de custo para alimentação e o reembolso de regime de quilometragem;
Artigo 10 - O valor do salário-esposa fixa fixado em Cr$ 7.500,00 (sete Mil e quinhentos cruzeiros)
Artigo 11 - O limite máximo de retribuição global mensal, a que se refere o inciso XII do artigo 115 da Constituição Estadual, aplicável aos servidores de que tratam os artigos 124 “caput” e 138 da mesma Constituição, fica fixado em Cr$ 106,789.849,50 (cento e seis milhões, setecentos e oitenta e nove mil oitocentos e quarenta e nove cruzeiros e cinqüenta centavos).
Parágrafo único - Se a aplicação desta lei complementar acarretar retribuição global mensal superior ao limite fixado neste artigo, restringir-se-á o reajuste a importância que faltar para atingir esse limite.
Artigo 12 - Fica concedido abono aos integrantes das classes abrangidas pelos Planos de Cargos, Vencimentos e Salários instituídos pelas Leis Complementares nº s 674, de 8 de abril de 1992, e 712 de 12 de abril de 1993, que estejam em efetivo exercício em unidade da Secretaria da Saúde, no Hospital das Clínicas da Faculdade de Medicina da universidade de São Paulo, no Hospital das Clínicas da Faculdade de Medicina de Ribeirão Preto, no Instituto de Assistência Médica ao Servidor Público Estadual e na Superintendência de Controle de Endemias.
§ 1º - O abono de que trata este artigo corresponderá a 3,45% (três inteiros e quarenta e cinco centésimos por cento) do valor do padrão ou referência em que se encontrar enquadrado o cargo ou a função-atividade do funcionário ou servidor, acrescido de gratificação especial instituída pela Lei nº 7.795, de 8 de abril de 1992.
§ 2º - Não farão jus ao abono de que trata este artigo os funcionários e servidores que recebam o reajuste complementar de que trata o artigo 8º desta lei complementar, ou façam jus às vantagens previstas no Sistema de Gratificações da Saúde, instituídos pela Lei Complementar nº 674 de 8 de abril de 1992.
§ 3º - O valor do abono não será considerado para percepção de quaisquer vantagens pecuniárias, exceto para o cálculo do décimo terceiro salário, nos termos do § 1º do artigo 1º da Lei Complementar nº 644, de 26 de dezembro de 1989, no do valor retribuição mensal quando em gozo de férias e na determinação do valor da hora normal de trabalho, no caso de serviço extraordinário.
§ 4º - O servidor não perderá o direito ao abono nos afastamentos decorrentes de férias, licenças-prêmio, gala, nojo, júri, licença para tratamento de saúde, faltas abonadas e em todas os outros afastamentos que a lei considere como de efetivo exercício para todos os efeitos legais.
Artigo 13 - Sobre o valor do abono de que trata o artigo anterior incidirão os descontos previdenciários e de assistência médica devidos.
Artigo 14 - Fica instituída, para os integrantes da carreira de Agente de Segurança Penitenciária, que se encontrem em efetivo exercício em unidades do sistema prisional da respectiva Secretaria de Estado, Gratificação de Atividade Penitenciária, que corresponderá a 22% (vinte e dois por cento) do valor do vencimento do cargo de Classe VI.
§ 1º - O valor da gratificação, a que se refere o “caput” deste artigo, não será considerado para percepção de quaisquer vantagens pecuniárias, exceto no cálculo do décimo terceiro salário de conformidade com o disposto no § 1º do artigo 1º da Lei Complementar nº 644, de 26 de dezembro de 1989, bem como no do valor da retribuição mensal quando o servidor estiver em gozo de férias.
§ 2º - O servidor não perderá o direito à gratificação nos afastamentos decorrentes de férias, licenças-prêmio, gala, nojo, júri, licença para tratamento de saúde pelo prazo máximo de 45 (quarenta e cinco) dias, faltas abonadas e em todos os outros que a lei considere como de efetivo exercício para todos os efeitos legais.
Artigo 14 - Revogado.
- Artigo 14 revogado pela Lei Complementar nº 1.116, de 27/05/2010, produzindo efeitos a partir de 01/03/2010.
Artigo 15 - Sobre o valor da gratificação de que trata o artigo anterior incidirão os descontos previdenciários e de assistência médica devidos.
Artigo 16 - Os incisos I e II do artigo 25 da Lei Complementar nº 674, de 8 de abril de 1992, passam a vigorar com a seguinte redação:
“I - a Gratificação Especial de Atividade - GEA, mediante aplicação dos coeficientes constantes dos Anexos adiante mencionados, sobre o valor do grau A” da referência 4 da Escala de vencimentos Nível Universitário, acrescido da gratificação especial instituída pela Lei nº 7.795, de 8 de abril de 1992:
a) Anexos VII e VIII, para os integrantes do Plano de Cargos, Vencimentos e Salários ora instituídos;
b) Anexo XI e XII, para os servidores não abrangidos pelo presente Plano de Cargos" Vencimentos e Salários:
II - A Gratificação Especial de Saúde Coletiva - FESC, mediante aplicação dos coeficientes constantes dos Anexos adiante mencionados sobre o valor do grau “A” da referência 4 da Escala de Vencimentos - Nível Universitário, acrescido da gratificação especial instituída pela Lei nº 7.795, de 8 de abril de 1992:
a) Anexos IX e X, para os integrantes do Plano de Cargos, Vencimentos e Salários ora instituídos;
b) Anexo XIII e XIV, para os servidores não abrangidos pelo presente Plano de Cargos, Vencimentos e Salários:”
Artigo 17 - Os dispositivos mencionados da Lei Complementar nº 700, de 15 de dezembro de 1992, passam a vigorar com a seguinte redação:
I - o "caput" do artigo 23:
“Artigo 23 - A gratificação prevista no artigo anterior será calculada mediante a aplicação dos percentuais adiante mencionados, sobre o valor da referência 14 da Escala de Vencimentos - Comissão, instituída pelo artigo 7º desta lei complementar, acrescido da gratificação especial instituída pela Lei nº 7.795, de 8 de abril de 1992.”;
II - o § do artigo 24;
“ § - A gratificação de que trata este artigo será calculada mediante a aplicação dos percentuais adiante mencionados, sobre o valor da referência 14 da Escala de Vencimentos - Comissão, instituída pelo artigo 7º desta lei complementar, acrescido da gratificação especial instituída pela Lei nº 7.795, de 8 de abril de 1992.”
Artigo 18 - Os incisos I e II do artigo 61 da Lei Complementar nº 712, de 12 de abril de 1993, passam a vigorar com a seguinte redação:
“I - para as classes de Supervisor de Equipe de Pedágio e Supervisor de Praça de Pedágio, a 30% (trinta por cento) do valor da respectiva referência, acrescido da gratificação especial instituída pela Lei nº 7.795, de 8 de abril de 1992;
II - para as classes de Agente de Praça de pedágio e Operador de Praça de Pedágio, a 40% (quarenta por cento) do valor do padrão em que estiver enquadrado o cargo ou função-atividade do funcionário ou servidor acrescido da gratificação especial instituída pela Lei nº 7795, de 8 de abril de 1992.”
Artigo 19 - O artigo 6º da Lei Complementar nº 567, de 20 de julho de 1988, com a redação dada pelo artigo 13 da Lei Complementar nº 669, de 15 de dezembro de 1992, passa a vigorar com a seguinte redação:
“Artigo 6º - O valor unitário das quotas referidas nesta lei complementar é a importância correspondente a 100% (cem por cento) do valor da quota estabelecida no artigo 6º da Lei Complementar nº 652, de 27 de dezembro de 1990, para a Gratificação Especial de Incremento à Arrecadação (GEIA) do mês de competência de seu pagamento.”
Artigo 20 - O disposto nesta lei complementar aplica-se nas mesmas bases e condições:
I - aos funcionários e servidores das Autarquias do Estado;
II - aos funcionários e servidores dos Quadros do Tribunal de Justiça, do Primeiro Tribunal e Segundo Tribunal de Alçada Civil, do tribunal de Alçada Criminal, do Tribunal de Justiça Militar, do Tribunal de Contas e do Quadro da Secretaria da Assembléia Legislativa;
III - aos integrantes dos Quadros Especiais instituídos pelo artigo 7º da Lei nº 119, de 29 de junho de 1973, sob a responsabilidade da Secretaria de Recursos Hídricos, Saneamento e Obras; pelo artigo 7º da Lei nº 10.430 de 16 de dezembro de 1971 e pelo inciso I do artigo 1º do decreto nº 24.960, de 10 de abril de 1986, sob a responsabilidade da Secretaria da Fazenda; aos integrantes da Parte especial do Quadro da Ex-autarquia Instituto de Pesquisas Tecnológicas, sob a responsabilidade da Secretaria da ciência, Tecnologia e Desenvolvimento Econômico e aos integrantes do Quadro Especial instituído pelo artigo 3º da Lei nº 6.470 de 15 de junho de 1989, sob a responsabilidade da Secretaria de Esportes e Turismo.
Artigo 21 - O disposto nesta lei complementar, exceto seus artigos 12 e 14, será considerado para efeito:
I - de cálculo dos proventos dos inativos:
II - de cálculo da retribuição-base para determinação do valor da pensão mensal.
Artigo 22 - As despesas decorrentes da aplicação desta lei complementar serão cobertas com as dotações próprias do orçamento vigente, ficando o Poder Executivo autorizado a abrir, para o corrente exercício, créditos suplementares até o limite de Cr$ 33.800.000.000.000,00 (trinta e três milhões e oitocentos bilhões de cruzeiros), mediante a utilização de recursos nos termos do § 1º do artigo 43 da Lei federal nº 4.320, de 17 de março de 1964.
Artigo 23 - Esta lei complementar entrará em vigor na data de sua publicação, retroagindo seus efeitos a 1 de maio de 1993.
Palácio dos Bandeirantes, 08 de dezembro de 1993.
LUIZ ANTONIO FLEURY FILHO
Eduardo Maia de Castro Ferraz
Secretário da Fazenda
José Fernando da Costa Boucinhas
Secretário de Planejamento e Gestão
Miguel Tebar Barrionuevo
Secretário da Administração e Modernização do Serviço Público
Michel Miguel Elias Temer Lulia
Secretário do Governo
Publicado na Assessoria Técnico-Legislativa, aos 8 de dezembro de 1993


- Vide Anexos I e II da Lei nº 8.826, de 11/07/1994.














