O GOVERNADOR DO ESTADO DE SÃO PAULO:
Faço saber que a Assembléia Legislativa decreta e eu promulgo a seguinte lei:
Artigo 1° - Os índices de participação dos municípios no produto da arrecadação do Imposto de Circulação de Mercadorias serão apurados anualmente, na forma e prazo estabelecidos pela Secretaria da Fazenda, para aplicação no exercício seguinte, com observância dos seguintes critérios:
Artigo 1.° - Os índices de participação dos municípios no produto de arrecadação do Imposto sobre Operações Relativas à Circulação de Mercadorias e sobre Prestações de Serviços de Transporte Interestadual e Intermunicipal e de Comunicação serão apurados, anualmente, na forma e prazo estabelecidos pelas Secretaria da Fazenda para aplicação no exercício seguinte, com observância dos seguintes critérios: (NR)
- "Caput" com redação dada pela Lei n° 8.510, de 29/12/1993, com efeitos a partir de 01/01/1994.
I - 80% (oitenta por cento), com base na relação percentual entre o valor adicionado ocorrido em cada município e o valor total do Estado nos 2 (dois) exercícios anteriores ao da apuração;
I - 76% (setenta e seis por cento), com base na relação percentual entre o valor adicionado em cada município e o valor total do Estado nos dois exercícios anteriores ao da apuração; (NR)
- Inciso I com redação dada pela Lei n° 8.510, de 29/12/1993, com efeitos a partir de 01/01/1994.
I - 75% (setenta e cinco por cento), com base na relação percentual entre o valor adicionado em cada município e o valor total do Estado nos dois exercícios anteriores ao da apuração; (NR)
- Inciso I com redação dada pela Lei n° 17.348, de 12/03/2021, com efeitos para cálculo do índice de participação dos Municípios a partir do ano-base subsequente ao de sua publicação.
I - 74% (setenta e quatro por cento), com base na relação percentual entre o valor adicionado em cada município e o valor total do Estado nos dois exercícios anteriores ao da apuração; (NR)
- Inciso I com redação dada pela Lei n° 17.892, de 02/04/2024, com efeitos a partir do ano-base 2023 (valores apurados em 2024 e repassados em 2025).
- Vide artigo 1° das Disposições Transitórias da Lei n° 17.348, de 12/03/2021.
II - 13% (treze por cento), com base na relação percentual entre a população de cada município e a população total do Estado, de acordo com o último recenseamento demográfico geral, realizado pela Fundação Instituto Brasileiro de Geografia e Estatística - IBGE;
II - 13% (treze por cento), com base no percentual entre a população de cada município e a população total do Estado, de acordo com o último recenseamento geral, realizado pela Fundação Instituto Brasileiro de Geografia e Estatística - IBGE; (NR)
- Inciso II com redação dada pela Lei n° 8.510, de 29/12/1993, com efeitos a partir de 01/01/1994.
II - os seguintes percentuais, obtidos com base na relação percentual entre a população de cada município e a população total do Estado, de acordo com o último recenseamento geral, realizado pela Fundação Instituto Brasileiro de Geografia e Estatística - IBGE: (NR)
- Inciso II com redação dada pela Lei n° 17.575, de 11/11/2022, com efeitos a partir do ano-base 2023 (valores apurados em 2024 e repassados em 2025).
a) 3% (três por cento) referente ao ano-base 2023 (valores apurados em 2024 e repassados em 2025); (NR)
- Alínea "a" com redação dada pela Lei n° 17.575, de 11/11/2022, com efeitos a partir do ano-base 2023 (valores apurados em 2024 e repassados em 2025).
b) 2% (dois por cento) referente ao ano-base 2024 (valores apurados em 2025 e repassados em 2026); (NR)
- Alínea "b" com redação dada pela Lei n° 17.575, de 11/11/2022, com efeitos a partir do ano-base 2023 (valores apurados em 2024 e repassados em 2025).
c) 1% (um por cento) referente ao ano-base 2025 (valores apurados em 2026 e repassados em 2027); (NR)
- Alínea "c" com redação dada pela Lei n° 17.575, de 11/11/2022, com efeitos a partir do ano-base 2023 (valores apurados em 2024 e repassados em 2025).
d) este critério não será mais aplicado a partir do ano-base 2026 (valores apurados em 2027 e repassados em 2028); (NR)
- Alínea "d" com redação dada pela Lei n° 17.575, de 11/11/2022, com efeitos a partir do ano-base 2023 (valores apurados em 2024 e repassados em 2025).
III - 5% (cinco por cento), com base na relação percentual entre o valor da receita tributária própria de cada município e a soma da receita tributária própria de todos os municípios paulistas;
III - 5% (cinco por cento), com base no percentual entre o valor da receita tributária própria de cada município e a soma da receita tributária própria de todos os municípios paulistas; (NR)
- Inciso III com redação dada pela Lei n° 8.510, de 29/12/1993, com efeitos a partir de 01/01/1994.
IV - 2% (dois por cento), com base no resultado da divisão do valor correspondente a esse percentual pelo número de municípios do Estado.
IV - 3% (três por cento), com base no percentual entre a área cultivada de cada município, no ano anterior ao da apuração, e a área cultivada total do estado, levantadas pela Secretaria de Agricultura e Abastecimento; (NR)
- Inciso IV com redação dada pela Lei n° 8.510, de 29/12/1993, com efeitos a partir de 01/01/1994.
V - 0,5% (zero vírgula cinco por cento), com base no percentual entre a área total, no Estado, dos reservatórios de água destinados à geração de energia elétrica e a área desses reservatórios no município, existentes no exercício anterior, levantadas pela Secretaria de Energia; (NR)
- Inciso V acrescentado pela Lei n° 8.510, de 29/12/1993, com efeitos a partir de 01/01/1994.
V - 0,5% (zero vírgula cinco por cento), com base no percentual entre a área total, no Estado, dos reservatórios de água destinados à geração de energia elétrica e dos reservatórios de água de interesse regional com função de abastecimento humano, e a área desses reservatórios no município, existentes no exercício anterior, levantadas pela Secretaria de Infraestrutura e Meio Ambiente; (NR)
- Inciso V com redação dada pela Lei n° 17.348, de 12/03/2021, com efeitos para cálculo do índice de participação dos Municípios a partir do ano-base subsequente ao de sua publicação.
VI - 0,5% (zero vírgula cinco por cento), em função de espaços territoriais especialmente protegidos existentes em cada município e no Estado, observados os critérios estabelecidos no Anexo desta lei; (NR)
- Inciso VI acrescentado pela Lei n° 8.510, de 29/12/1993, com efeitos a partir de 01/01/1994.
VI - 0,5% (zero vírgula cinco por cento), em função de espaços territoriais especialmente protegidos existentes em cada município e no Estado, observado o disposto nos §§ 4° e 5° deste artigo; (NR)
- Inciso VI com redação dada pela Lei n° 17.348, de 12/03/2021, com efeitos para cálculo do índice de participação dos Municípios a partir do ano-base subsequente ao de sua publicação.
VI - 1% (um por cento), em função de espaços territoriais especialmente protegidos existentes em cada município e no Estado, observado o disposto nos §§ 4° e 5° deste artigo; (NR)
- Inciso VI com redação dada pela Lei n° 17.892, de 02/04/2024, com efeitos a partir do ano-base 2023 (valores apurados em 2024 e repassados em 2025).
VII - 2% (dois por cento), com base no resultado da divisão do valor correspondente a esse percentual pelo número de municípios do Estado existentes em 31 de dezembro do ano anterior ao da apuração. (NR)
- Inciso VII acrescentado pela Lei n° 8.510, de 29/12/1993, com efeitos a partir de 01/01/1994.
VIII - 0,5% (zero vírgula cinco por cento), em função de espaços territoriais cobertos por vegetação nativa, em áreas situadas fora de unidades de conservação de proteção integral criadas pelo Estado de São Paulo, que correspondam, no exercício anterior, ao mínimo de 30% (trinta por cento) da área total do município, ou em áreas situadas em Áreas de Proteção e Recuperação de Mananciais instituídas por legislação estadual, ou áreas situadas dentro de Área de Preservação Ambiental - APA, independentemente do seu tamanho, excluídas duplicidades de incidência, conforme levantamento efetuado pela Secretaria de Infraestrutura e Meio Ambiente, observado o disposto nos §§ 6° e 7° deste artigo; (NR)
- Inciso VIII acrescentado pela Lei n° 17.348, de 12/03/2021, com efeitos para cálculo do índice de participação dos Municípios a partir do ano-base subsequente ao de sua publicação.
VIII - 1% (um por cento), em função de espaços territoriais cobertos por vegetação nativa, em áreas situadas fora de unidades de conservação de proteção integral criadas pelo Estado de São Paulo, que correspondam, no exercício anterior, ao mínimo de 30% (trinta por cento) da área total do município, ou em áreas situadas em Áreas de Proteção e Recuperação de Mananciais instituídas por legislação estadual, ou áreas situadas dentro de Área de Proteção Ambiental – APA, independentemente do seu tamanho, excluídas duplicidades de incidência, conforme levantamento efetuado pela Secretaria de Meio Ambiente, Infraestrutura e Logística, observado o disposto nos §§ 6° e 7° deste artigo; (NR)
- Inciso VIII com redação dada pela Lei n° 17.892, de 02/04/2024, com efeitos a partir do ano-base 2023 (valores apurados em 2024 e repassados em 2025).
- Vide artigo 1° das Disposições Transitórias da Lei n° 17.348, de 12/03/2021.
IX - 0,5% (zero vírgula cinco por cento), em função da existência de Plano de Gestão de Resíduos Sólidos e do enquadramento em índices de desempenho de aproveitamento e destinação de resíduos sólidos, observado o disposto no § 8° deste artigo. (NR)
- Inciso IX acrescentado pela Lei n° 17.348, de 12/03/2021, com efeitos para cálculo do índice de participação dos Municípios a partir do ano-base subsequente ao de sua publicação.
- Vide artigo 1° das Disposições Transitórias da Lei n° 17.348, de 12/03/2021.
X - os seguintes percentuais, obtidos com base na Participação no Rateio da Cota-Parte da Educação - PRE, levantada pela Secretaria da Educação: (NR)
- Inciso X acrescentado pela Lei n° 17.575, de 11/11/2022, com efeitos a partir do ano-base 2023 (valores apurados em 2024 e repassados em 2025).
a) 10% (dez por cento) referente ao ano-base 2023 (valores apurados em 2024 e repassados em 2025); (NR)
- Alínea "a" acrescentada pela Lei n° 17.575, de 11/11/2022, com efeitos a partir do ano-base 2023 (valores apurados em 2024 e repassados em 2025).
b) 11% (onze por cento) referente ao ano-base 2024 (valores apurados em 2025 e repassados em 2026); (NR)
- Alínea "b" acrescentada pela Lei n° 17.575, de 11/11/2022, com efeitos a partir do ano-base 2023 (valores apurados em 2024 e repassados em 2025).
c) 12% (doze por cento) referente ao ano-base 2025 (valores apurados em 2026 e repassados em 2027); (NR)
- Alínea "c" acrescentada pela Lei n° 17.575, de 11/11/2022, com efeitos a partir do ano-base 2023 (valores apurados em 2024 e repassados em 2025).
d) 13% (treze por cento) referente ao ano-base 2026 (valores apurados em 2027 e repassados em 2028); (NR)
- Alínea "d" acrescentada pela Lei n° 17.575, de 11/11/2022, com efeitos a partir do ano-base 2023 (valores apurados em 2024 e repassados em 2025).
§ 1° - Para os efeitos desta lei, considera-se receita tributária própria a contabilizada no exercício anterior ao da apuração, proveniente exclusivamente dos impostos previstos no artigo 24, incisos I e II, da Constituição da República, com a redação dada pela Emenda Constitucional n. 1, de 1969.
§ 1° - Para os efeitos desta lei, considera-se receita tributária própria a contabilizada no exercício anterior ao da apuração, proveniente exclusivamente dos impostos previstos na Constituição da República. (NR)
- § 1° com redação dada pela Lei n° 8.510, de 29/12/1993, com efeitos a partir de 01/01/1994.
§ 1° - Para os efeitos do inciso I, com referência às operações relativas à circulação de energia elétrica, entende-se como estabelecimento de usina hidrelétrica as áreas compreendidas pelo reservatório de água destinado à geração de energia, barragem e suas comportas, vertedouro, condutos forçados, casa das máquinas e subestação elevatória. (NR)
- § 1° com redação dada pela Lei n° 9.332, de 27/12/1995, com efeitos a partir de 01/01/1996.
- Em 20/06/1996, o Supremo Tribunal Federal concedeu medida liminar para suspender, com eficácia "ex nunc", a aplicabilidade e execução da Lei n° 9.332, de 27/12/1995 até o julgamento final da ADI n° 1423.
§ 1° - Para os efeitos desta lei, considera-se receita tributária própria a contabilizada no exercício anterior ao da apuração, proveniente exclusivamente dos impostos previstos na Constituição da República. (NR)
- § 1° com redação dada pela Lei n° 8.510, de 29/12/1993, com efeitos a partir de 01/01/1994, restaurada. Lei n° 9.332, de 27/12/1995, declarada inconstitucional, em controle concentrado, pelo Supremo Tribunal Federal nos autos da ADI n° 1423.
§ 2° - Vetado.
§ 2° - Para os efeitos do inciso VI a área total considerada como espaço territorial especialmente protegido em cada município será a soma das áreas correspondentes às diferentes unidades de conservação presentes no município, ponderadas pelos seguintes pesos: (NR)
- § 2° acrescentado pela Lei n° 8.510, de 29/12/1993, com efeitos a partir de 01/01/1994, com reaproveitamento da numeração de dispositivo vetado.
I - Estações Ecológicas - Peso 1,0 (um); (NR)
- Inciso I acrescentado pela Lei n° 8.510, de 29/12/1993, com efeitos a partir de 01/01/1994.
II - Reservas Biológicas - Peso 1,0 (um); (NR)
- Inciso II acrescentado pela Lei n° 8.510, de 29/12/1993, com efeitos a partir de 01/01/1994.
III - Parques Estaduais - peso 0,8 (oito décimos); (NR)
- Inciso III acrescentado pela Lei n° 8.510, de 29/12/1993, com efeitos a partir de 01/01/1994.
IV - Zonas de Vida Silvestre em Áreas de Proteção Ambiental (ZVS em APA’s) - peso 0,5 (cinco décimos); (NR)
- Inciso IV acrescentado pela Lei n° 8.510, de 29/12/1993, com efeitos a partir de 01/01/1994.
V - Reservas Florestais - peso 0,2 (dois décimos); (NR)
- Inciso V acrescentado pela Lei n° 8.510, de 29/12/1993, com efeitos a partir de 01/01/1994.
VI - Áreas de Proteção Ambiental (APA’s) - peso 0,1 (um décimo); (NR)
- Inciso VI acrescentado pela Lei n° 8.510, de 29/12/1993, com efeitos a partir de 01/01/1994.
VII - Áreas Naturais Tombadas - peso 0,1 (um décimo). (NR)
- Inciso VII acrescentado pela Lei n° 8.510, de 29/12/1993, com efeitos a partir de 01/01/1994.
§ 2° - O valor adicionado relativo à usina hidrelétrica cujo estabelecimento ocupe território de mais de um município, será atribuído nas condições e proporções a seguir indicadas: (NR)
- § 2° com redação dada pela Lei n° 9.332, de 27/12/1995, com efeitos a partir de 01/01/1996.
- Em 20/06/1996, o Supremo Tribunal Federal concedeu medida liminar para suspender, com eficácia "ex nunc", a aplicabilidade e execução da Lei n° 9.332, de 27/12/1995 até o julgamento final da ADI n° 1423.
1 - 50% (cinquenta por cento) ao município onde se localizarem a barragem e suas comportas, o vertedouro, os condutos forçados, a casa de máquinas e a estação elevatória; no caso de um ou alguns desses componentes se situarem em território de mais de um município, este percentual será dividido em tantas partes iguais quantos forem os municípios envolvidos, a cada qual atribuindo-se uma delas; (NR)
- Item 1 acrescentado pela Lei n° 9.332, de 27/12/1995, com efeitos a partir de 01/01/1996.
- Em 20/06/1996, o Supremo Tribunal Federal concedeu medida liminar para suspender, com eficácia "ex nunc", a aplicabilidade e execução da Lei n° 9.332, de 27/12/1995 até o julgamento final da ADI n° 1423.
2 - 50% (cinquenta por cento) aos demais municípios, proporcionalmente à área do reservatório, de acordo com levantamento elaborado pela Secretaria de Energia. (NR)
- Item 2 acrescentado pela Lei n° 9.332, de 27/12/1995, com efeitos a partir de 01/01/1996.
- Em 20/06/1996, o Supremo Tribunal Federal concedeu medida liminar para suspender, com eficácia "ex nunc", a aplicabilidade e execução da Lei n° 9.332, de 27/12/1995 até o julgamento final da ADI n° 1423.
§ 2° - Para os efeitos do inciso VI a área total considerada como espaço territorial especialmente protegido em cada município será a soma das áreas correspondentes às diferentes unidades de conservação presentes no município, ponderadas pelos seguintes pesos: (NR)
- § 2° com redação dada pela Lei n° 8.510, de 29/12/1993, com efeitos a partir de 01/01/1994, restaurada. Lei n° 9.332, de 27/12/1995, declarada inconstitucional, em controle concentrado, pelo Supremo Tribunal Federal nos autos da ADI n° 1423.
I - Estações Ecológicas - Peso 1,0 (um); (NR)
- Inciso I com redação dada pela Lei n° 8.510, de 29/12/1993, com efeitos a partir de 01/01/1994, restaurada. Lei n° 9.332, de 27/12/1995, declarada inconstitucional, em controle concentrado, pelo Supremo Tribunal Federal nos autos da ADI n° 1423.
II - Reservas Biológicas - Peso 1,0 (um); (NR)
- Inciso II com redação dada pela Lei n° 8.510, de 29/12/1993, com efeitos a partir de 01/01/1994, restaurada. Lei n° 9.332, de 27/12/1995, declarada inconstitucional, em controle concentrado, pelo Supremo Tribunal Federal nos autos da ADI n° 1423.
III - Parques Estaduais - peso 0,8 (oito décimos); (NR)
- Inciso III com redação dada pela Lei n° 8.510, de 29/12/1993, com efeitos a partir de 01/01/1994, restaurada. Lei n° 9.332, de 27/12/1995, declarada inconstitucional, em controle concentrado, pelo Supremo Tribunal Federal nos autos da ADI n° 1423.
IV - Zonas de Vida Silvestre em Áreas de Proteção Ambiental (ZVS em APA’s) - peso 0,5 (cinco décimos); (NR)
- Inciso IV com redação dada pela Lei n° 8.510, de 29/12/1993, com efeitos a partir de 01/01/1994, restaurada. Lei n° 9.332, de 27/12/1995, declarada inconstitucional, em controle concentrado, pelo Supremo Tribunal Federal nos autos da ADI n° 1423.
V - Reservas Florestais - peso 0,2 (dois décimos); (NR)
- Inciso V com redação dada pela Lei n° 8.510, de 29/12/1993, com efeitos a partir de 01/01/1994, restaurada. Lei n° 9.332, de 27/12/1995, declarada inconstitucional, em controle concentrado, pelo Supremo Tribunal Federal nos autos da ADI n° 1423.
VI - Áreas de Proteção Ambiental (APA’s) - peso 0,1 (um décimo); (NR)
- Inciso VI com redação dada pela Lei n° 8.510, de 29/12/1993, com efeitos a partir de 01/01/1994, restaurada. Lei n° 9.332, de 27/12/1995, declarada inconstitucional, em controle concentrado, pelo Supremo Tribunal Federal nos autos da ADI n° 1423.
VII - Áreas Naturais Tombadas - peso 0,1 (um décimo). (NR)
- Inciso VII com redação dada pela Lei n° 8.510, de 29/12/1993, com efeitos a partir de 01/01/1994, restaurada. Lei n° 9.332, de 27/12/1995, declarada inconstitucional, em controle concentrado, pelo Supremo Tribunal Federal nos autos da ADI n° 1423.
VIII - Reservas de Desenvolvimento Sustentável - peso 0,2 (dois décimos); (NR)
- Inciso VIII acrescentado pela Lei n° 12.810, de 21/02/2008.
IX - Reservas Extrativistas - peso 0,2 (dois décimos). (NR)
- Inciso IX acrescentado pela Lei n° 12.810, de 21/02/2008.
§ 3.° - A Secretaria da Fazenda publicará os índices previstos no incisos II e VII até o dia 30 de junho de cada ano. (NR)
- § 3° com redação dada pela Lei n° 8.510, de 29/12/1993, com efeitos a partir de 01/01/1994.
§ 1.° § 3° - Para os efeitos desta lei, considera-se receita tributária própria a contabilizada no exercício anterior ao da apuração, proveniente exclusivamente dos impostos previstos na Constituição da República. (NR)
- § 1° renumerado para § 3° pela Lei n° 9.332, de 27/12/1995, com efeitos a partir de 01/01/1996.
§ 3.° - A Secretaria da Fazenda publicará os índices previstos no incisos II e VII até o dia 30 de junho de cada ano. (NR)
- § 3° acrescentado pela Lei n° 8.510, de 29/12/1993, com efeitos a partir de 01/01/1994, restaurado. Lei n° 9.332, de 27/12/1995, declarada inconstitucional, em controle concentrado, pelo Supremo Tribunal Federal nos autos da ADI n° 1423.
§ 2.° § 4° - Para os efeitos do inciso VI a área total considerada como espaço territorial especialmente protegido em cada município será a soma das áreas correspondentes às diferentes unidades de conservação presentes no município, ponderadas pelos seguintes pesos: (NR)
- § 2° renumerado para § 4° pela Lei n° 9.332, de 27/12/1995, com efeitos a partir de 01/01/1996.
I - Estações Ecológicas - Peso 1,0 (um); (NR)
II - Reservas Biológicas - Peso 1,0 (um); (NR)
III - Parques Estaduais - peso 0,8 (oito décimos); (NR)
IV - Zonas de Vida Silvestre em Áreas de Proteção Ambiental (ZVS em APA’s) - peso 0,5 (cinco décimos); (NR)
V - Reservas Florestais - peso 0,2 (dois décimos); (NR)
VI - Áreas de Proteção Ambiental (APA’s) - peso 0,1 (um décimo); (NR)
VII - Áreas Naturais Tombadas - peso 0,1 (um décimo). (NR)
§ 4° - Para os efeitos do inciso VI deste artigo, serão considerados como espaços territoriais especialmente protegidos aqueles enquadrados nas categorias integrantes do Sistema Nacional de Unidades de Conservação - SNUC e instituídos pelo Estado, utilizados com base nos seguintes critérios e pesos: (NR)
- § 4° com redação dada pela Lei n° 17.348, de 12/03/2021, com efeitos para cálculo do índice de participação dos Municípios a partir do ano-base subsequente ao de sua publicação.
1. percentual da área de espaços territoriais especialmente protegidos existentes no Município em relação à área municipal total - ponderação 0,30; (NR)
- Item 1 acrescentado pela Lei n° 17.348, de 12/03/2021, com efeitos para cálculo do índice de participação dos Municípios a partir do ano-base subsequente ao de sua publicação.
2. percentual da área de espaços territoriais especialmente protegidos existentes no Município em relação à área total de espaços territoriais especialmente protegidos no Estado - ponderação 0,70. (NR)
- Item 2 acrescentado pela Lei n° 17.348, de 12/03/2021, com efeitos para cálculo do índice de participação dos Municípios a partir do ano-base subsequente ao de sua publicação.
§ 3.° § 5° - A Secretaria da Fazenda publicará os índices previstos no incisos II e VII até o dia 30 de junho de cada ano. (NR)
- § 3° renumerado para § 5° pela Lei n° 9.332, de 27/12/1995, com efeitos a partir de 01/01/1996.
§ 5° - Para os fins do item 2 do § 4° deste artigo, serão consideradas as tipologias de espaços territoriais especialmente protegidos, de acordo com os seguintes pesos: (NR)
- § 5° com redação dada pela Lei n° 17.348, de 12/03/2021, com efeitos para cálculo do índice de participação dos Municípios a partir do ano-base subsequente ao de sua publicação.
1. Estação Ecológica - Peso 1,0 (um); (NR)
- Item 1 acrescentado pela Lei n° 17.348, de 12/03/2021, com efeitos para cálculo do índice de participação dos Municípios a partir do ano-base subsequente ao de sua publicação.
2. Reserva Biológica - Peso 1,0 (um); (NR)
- Item 2 acrescentado pela Lei n° 17.348, de 12/03/2021, com efeitos para cálculo do índice de participação dos Municípios a partir do ano-base subsequente ao de sua publicação.
3. Parque Estadual - Peso 0,9 (nove décimos); (NR)
- Item 3 acrescentado pela Lei n° 17.348, de 12/03/2021, com efeitos para cálculo do índice de participação dos Municípios a partir do ano-base subsequente ao de sua publicação.
4. Monumento Natural - Peso 0,5 (cinco décimos); (NR)
- Item 4 acrescentado pela Lei n° 17.348, de 12/03/2021, com efeitos para cálculo do índice de participação dos Municípios a partir do ano-base subsequente ao de sua publicação.
5. Refúgio de Vida Silvestre - Peso 0,5 (cinco décimos); (NR)
- Item 5 acrescentado pela Lei n° 17.348, de 12/03/2021, com efeitos para cálculo do índice de participação dos Municípios a partir do ano-base subsequente ao de sua publicação.
6. Área de Proteção Ambiental - Peso 0,1 (um décimo); (NR)
- Item 6 acrescentado pela Lei n° 17.348, de 12/03/2021, com efeitos para cálculo do índice de participação dos Municípios a partir do ano-base subsequente ao de sua publicação.
7. Área de Relevante Interesse Ecológico - Peso 0,1 (um décimo); (NR)
- Item 7 acrescentado pela Lei n° 17.348, de 12/03/2021, com efeitos para cálculo do índice de participação dos Municípios a partir do ano-base subsequente ao de sua publicação.
8. Floresta Estadual - Peso 0,2 (dois décimos); (NR)
- Item 8 acrescentado pela Lei n° 17.348, de 12/03/2021, com efeitos para cálculo do índice de participação dos Municípios a partir do ano-base subsequente ao de sua publicação.
9. Reserva de Desenvolvimento Sustentável - Peso 0,3 (três décimos); (NR)
- Item 9 acrescentado pela Lei n° 17.348, de 12/03/2021, com efeitos para cálculo do índice de participação dos Municípios a partir do ano-base subsequente ao de sua publicação.
10. Reserva Extrativista - Peso 0,3 (três décimos); (NR)
- Item 10 acrescentado pela Lei n° 17.348, de 12/03/2021, com efeitos para cálculo do índice de participação dos Municípios a partir do ano-base subsequente ao de sua publicação.
11. Reserva de Fauna - Peso 0,1 (um décimo); (NR)
- Item 11 acrescentado pela Lei n° 17.348, de 12/03/2021, com efeitos para cálculo do índice de participação dos Municípios a partir do ano-base subsequente ao de sua publicação.
12. Reserva Particular do Patrimônio Natural - Peso 0,1 (um décimo). (NR)
- Item 12 acrescentado pela Lei n° 17.348, de 12/03/2021, com efeitos para cálculo do índice de participação dos Municípios a partir do ano-base subsequente ao de sua publicação.
§ 6° - Para os efeitos do inciso VIII deste artigo, considera- se cobertura vegetal nativa as formações florestais e campestres com ocorrência no território paulista, mapeadas pelo Inventário Florestal do Estado de São Paulo, apresentado anualmente no Relatório de Qualidade Ambiental da Secretaria de Infraestrutura e Meio Ambiente, nos termos do artigo 4°, inciso VIII, da Lei n° 9.509, de 20 de março de 1997. (NR)
- § 6° acrescentado pela Lei n° 17.348, de 12/03/2021, com efeitos para cálculo do índice de participação dos Municípios a partir do ano-base subsequente ao de sua publicação.
§ 7° - Para os efeitos do inciso VIII deste artigo: (NR)
- § 7° acrescentado pela Lei n° 17.348, de 12/03/2021, com efeitos para cálculo do índice de participação dos Municípios a partir do ano-base subsequente ao de sua publicação.
1. serão consideradas as seguintes tipologias de vegetação nativa: (NR)
- Item 1 acrescentado pela Lei n° 17.348, de 12/03/2021, com efeitos para cálculo do índice de participação dos Municípios a partir do ano-base subsequente ao de sua publicação.
a) Floresta Ombrófila Densa (estágio médio e avançado); (NR)
- Alínea "a" acrescentada pela Lei n° 17.348, de 12/03/2021, com efeitos para cálculo do índice de participação dos Municípios a partir do ano-base subsequente ao de sua publicação.
b) Floresta Ombrófila Mista (estágio médio e avançado); (NR)
- Alínea "b" acrescentada pela Lei n° 17.348, de 12/03/2021, com efeitos para cálculo do índice de participação dos Municípios a partir do ano-base subsequente ao de sua publicação.
c) Floresta Ombrófila Densa de Terras Baixas; (NR)
- Alínea "c" acrescentada pela Lei n° 17.348, de 12/03/2021, com efeitos para cálculo do índice de participação dos Municípios a partir do ano-base subsequente ao de sua publicação.
d) Floresta Estacional Semidecidual (estágio médio e avançado); (NR)
- Alínea "d" acrescentada pela Lei n° 17.348, de 12/03/2021, com efeitos para cálculo do índice de participação dos Municípios a partir do ano-base subsequente ao de sua publicação.
e) Floresta Estacional Decidual; (NR)
- Alínea "e" acrescentada pela Lei n° 17.348, de 12/03/2021, com efeitos para cálculo do índice de participação dos Municípios a partir do ano-base subsequente ao de sua publicação.
f) Formação Pioneira com Influência Fluvial; (NR)
- Alínea "f" acrescentada pela Lei n° 17.348, de 12/03/2021, com efeitos para cálculo do índice de participação dos Municípios a partir do ano-base subsequente ao de sua publicação.
g) Formação Pioneira com Influência Fluviomarinha; (NR)
- Alínea "g" acrescentada pela Lei n° 17.348, de 12/03/2021, com efeitos para cálculo do índice de participação dos Municípios a partir do ano-base subsequente ao de sua publicação.
h) Savana Arborizada; (NR)
- Alínea "h" acrescentada pela Lei n° 17.348, de 12/03/2021, com efeitos para cálculo do índice de participação dos Municípios a partir do ano-base subsequente ao de sua publicação.
i) Savana Florestada; (NR)
- Alínea "i" acrescentada pela Lei n° 17.348, de 12/03/2021, com efeitos para cálculo do índice de participação dos Municípios a partir do ano-base subsequente ao de sua publicação.
j) Savana Gramíneo-lenhosa; (NR)
- Alínea "j" acrescentada pela Lei n° 17.348, de 12/03/2021, com efeitos para cálculo do índice de participação dos Municípios a partir do ano-base subsequente ao de sua publicação.
k) Refúgio Ecológico. (NR)
- Alínea "k" acrescentada pela Lei n° 17.348, de 12/03/2021, com efeitos para cálculo do índice de participação dos Municípios a partir do ano-base subsequente ao de sua publicação.
2. serão considerados os seguintes parâmetros técnicos para mapeamento da cobertura vegetal nativa: (NR)
- Item 2 acrescentado pela Lei n° 17.348, de 12/03/2021, com efeitos para cálculo do índice de participação dos Municípios a partir do ano-base subsequente ao de sua publicação.
a) mapeamento realizado a partir de imagens orbitais, de resolução espacial de 0,5 metro; (NR)
- Alínea "a" acrescentada pela Lei n° 17.348, de 12/03/2021, com efeitos para cálculo do índice de participação dos Municípios a partir do ano-base subsequente ao de sua publicação.
b) cálculo do perímetro e da área dos remanescentes de cobertura vegetal nativa mapeados utilizando a escala de visualização de 1:5.000, com a área mínima mapeada de 0,1 hectare (1.000 m2); (NR)
- Alínea "b" acrescentada pela Lei n° 17.348, de 12/03/2021, com efeitos para cálculo do índice de participação dos Municípios a partir do ano-base subsequente ao de sua publicação.
c) avaliação da acurácia do mapeamento realizada com o índice Kappa mínimo de 0,80. (NR)
- Alínea "c" acrescentada pela Lei n° 17.348, de 12/03/2021, com efeitos para cálculo do índice de participação dos Municípios a partir do ano-base subsequente ao de sua publicação.
§ 8° - A aplicação do inciso IX deste artigo observará as seguintes disposições: (NR)
- § 8° acrescentado pela Lei n° 17.348, de 12/03/2021, com efeitos para cálculo do índice de participação dos Municípios a partir do ano-base subsequente ao de sua publicação.
1. considera-se Plano de Gestão de Resíduos Sólidos o documento elaborado de acordo com o disposto na Lei federal n° 12.305, de 2 de agosto de 2010, que institui a Política Nacional de Resíduos Sólidos, e na Lei n° 12.300, de 16 de março de 2006, que institui a Política Estadual de Resíduos Sólidos, podendo ser de âmbito municipal ou intermunicipal; (NR)
- Item 1 acrescentado pela Lei n° 17.348, de 12/03/2021, com efeitos para cálculo do índice de participação dos Municípios a partir do ano-base subsequente ao de sua publicação.
2. os índices de desempenho de aproveitamento e destinação de resíduos sólidos serão ponderados considerando: (NR)
- Item 2 acrescentado pela Lei n° 17.348, de 12/03/2021, com efeitos para cálculo do índice de participação dos Municípios a partir do ano-base subsequente ao de sua publicação.
a) existência de coleta seletiva de resíduos sólidos, apurada pelo Índice de Qualidade de Gestão de Resíduos Sólidos (IQG), que compõe o Relatório de Qualidade Ambiental da Secretaria de Infraestrutura e Meio Ambiente, nos termos do artigo 4°, inciso VIII, da Lei n° 9.509, de 20 de março de 1997, atestada anualmente pela Secretaria de Infraestrutura e Meio Ambiente; (NR)
- Alínea "a" acrescentada pela Lei n° 17.348, de 12/03/2021, com efeitos para cálculo do índice de participação dos Municípios a partir do ano-base subsequente ao de sua publicação.
b) participação do município em consórcio ou arranjo intermunicipal para gestão de resíduos sólidos, apurada pelo Índice de Qualidade de Gestão de Resíduos Sólidos (IQG), que compõe o Relatório de Qualidade Ambiental da Secretaria de Infraestrutura e Meio Ambiente, nos termos do artigo 4°, inciso VIII, da Lei n° 9.509, de 20 de março de 1997, atestada anualmente pela Secretaria de Infraestrutura e Meio Ambiente; (NR)
- Alínea "b" acrescentada pela Lei n° 17.348, de 12/03/2021, com efeitos para cálculo do índice de participação dos Municípios a partir do ano-base subsequente ao de sua publicação.
c) disposição final de resíduos sólidos encaminhada a aterro sanitário adequado, conforme disposto na legislação específica, distribuídos de acordo com normas operacionais orientadas para o impedimento de dano ou risco à saúde e à segurança públicas, minimizando impactos sobre o meio ambiente, aplicando-se ao cálculo da distribuição do recurso destinado aos municípios percentual específico a esta disposição, de até 30% (trinta por cento), baseado no Índice de Qualidade de Aterro de Resíduos (IQR), que compõe o Relatório de Qualidade Ambiental da Secretaria de Infraestrutura e Meio Ambiente, nos temos do artigo 4°, inciso VIII, da Lei n° 9.509, de 20 de março de 1997, apurado anualmente pela Companhia Ambiental do Estado de São Paulo- CETESB; (NR)
- Alínea "c" acrescentada pela Lei n° 17.348, de 12/03/2021, com efeitos para cálculo do índice de participação dos Municípios a partir do ano-base subsequente ao de sua publicação.
d) população total do município. (NR)
- Alínea "d" acrescentada pela Lei n° 17.348, de 12/03/2021, com efeitos para cálculo do índice de participação dos Municípios a partir do ano-base subsequente ao de sua publicação.
§ 9° - A Secretaria da Fazenda e Planejamento publicará os índices previstos nos incisos I a IX deste artigo até o dia 30 de junho de cada ano. (NR)
- § 9° acrescentado pela Lei n° 17.348, de 12/03/2021, com efeitos para cálculo do índice de participação dos Municípios a partir do ano-base subsequente ao de sua publicação.
§ 9° - A Secretaria da Fazenda e Planejamento publicará os índices previstos nos incisos I a X deste artigo até o dia 30 de junho de cada ano. (NR)
- § 9° com redação dada pela Lei n° 17.575, de 11/11/2022, com efeitos a partir do ano-base 2023 (valores apurados em 2024 e repassados em 2025).
§ 10 - A Participação no Rateio da Cota-Parte da Educação - PRE, referida no inciso X deste artigo, é o indicador composto pelo Índice de Qualidade da Educação Municipal - IQEM, a que se refere o artigo 2°-A desta lei, pela população do município, pelo nível socioeconômico dos educandos e pelo número de matrículas da rede municipal, conforme metodologia e fórmula de cálculo previstas no Anexo Único desta lei. (NR)
- § 10 acrescentado pela Lei n° 17.575, de 11/11/2022, com efeitos a partir do ano-base 2023 (valores apurados em 2024 e repassados em 2025).
§ 10 - A Participação no Rateio da Cota-Parte da Educação - PRE, referida no inciso X deste artigo, é o indicador composto pelo Índice de Qualidade da Educação Municipal - IQEM, a que se refere o artigo 2°-A desta lei, e pelo número de matrículas dos estudantes de todos os anos iniciais do ensino fundamental da rede municipal, conforme metodologia e fórmula de cálculo previstas no Anexo I desta lei. (NR)
- § 10 com redação dada pela Lei n° 18.381, de 23/12/2025, com efeitos a partir do ano-base 2026 (valores apurados em 2027 e repassados em 2028).
Artigo 2° - Os municípios devem declarar, na forma e prazos estabelecidos pela Secretaria da Fazenda, o valor da respectiva receita tributária própria, a que se refere o § 1° do artigo anterior.
Parágrafo único - Para todos os efeitos desta lei, considerar-se-á inexistente a receita tributária própria que não for declarada no prazo a que alude este artigo.
Artigo 2°-A - Fica criado o Índice de Qualidade da Educação Municipal - IQEM, calculado com base nas seguintes variáveis dos alunos dos anos iniciais do ensino fundamental da rede municipal de ensino: (NR)
- "Caput" acrescentado pela Lei n° 17.575, de 11/11/2022, com efeitos a partir do ano-base 2023 (valores apurados em 2024 e repassados em 2025).
I - desempenho nas provas de avaliação; (NR)
- Inciso I acrescentado pela Lei n° 17.575, de 11/11/2022, com efeitos a partir do ano-base 2023 (valores apurados em 2024 e repassados em 2025).
I - taxas de participação nas provas de avaliação; (NR)
- Inciso I com redação dada pela Lei n° 18.381, de 23/12/2025, com efeitos a partir do ano-base 2026 (valores apurados em 2027 e repassados em 2028).
II - evolução do desempenho nas provas de avaliação; (NR)
- Inciso II acrescentado pela Lei n° 17.575, de 11/11/2022, com efeitos a partir do ano-base 2023 (valores apurados em 2024 e repassados em 2025).
II - evolução da equidade de aprendizagem na alfabetização (2° ano do ensino fundamental) e nos anos iniciais (5° ano do ensino fundamental) dos alunos de cada município nas provas de avaliação; (NR)
- Inciso II com redação dada pela Lei n° 18.381, de 23/12/2025, com efeitos a partir do ano-base 2026 (valores apurados em 2027 e repassados em 2028).
III - taxas de participação nas provas de avaliação; (NR)
- Inciso III acrescentado pela Lei n° 17.575, de 11/11/2022, com efeitos a partir do ano-base 2023 (valores apurados em 2024 e repassados em 2025).
III - taxas de aprovação; (NR)
- Inciso III com redação dada pela Lei n° 18.381, de 23/12/2025, com efeitos a partir do ano-base 2026 (valores apurados em 2027 e repassados em 2028).
IV - taxas de reprovação; (NR)
- Inciso IV acrescentado pela Lei n° 17.575, de 11/11/2022, com efeitos a partir do ano-base 2023 (valores apurados em 2024 e repassados em 2025).
IV - percentual de alunos matriculados em ensino de tempo integral por município; (NR)
- Inciso IV com redação dada pela Lei n° 18.381, de 23/12/2025, com efeitos a partir do ano-base 2026 (valores apurados em 2027 e repassados em 2028).
V - taxas de abandono. (NR)
- Inciso V acrescentado pela Lei n° 17.575, de 11/11/2022, com efeitos a partir do ano-base 2023 (valores apurados em 2024 e repassados em 2025).
V - fator socioeconômico calculado com base no Indicador de Nível Socioeconômico - INSE. (NR)
- Inciso V com redação dada pela Lei n° 18.381, de 23/12/2025, com efeitos a partir do ano-base 2026 (valores apurados em 2027 e repassados em 2028).
§ 1° - O IQEM será calculado pela Secretaria da Educação, de acordo com a metodologia e fórmula de cálculo estabelecida no Anexo Único desta lei. (NR)
- § 1° acrescentado pela Lei n° 17.575, de 11/11/2022, com efeitos a partir do ano-base 2023 (valores apurados em 2024 e repassados em 2025).
§ 1° - O IQEM será calculado pela Secretaria da Educação, de acordo com a metodologia e fórmula de cálculo estabelecida no Anexo I desta lei. (NR)
- § 1° com redação dada pela Lei n° 18.381, de 23/12/2025, com efeitos a partir do ano-base 2026 (valores apurados em 2027 e repassados em 2028).
§ 2° - Caberá à Secretaria da Educação a elaboração e aplicação das provas de avaliação previstas no inciso I deste artigo, diretamente ou por meio de instituição contratada, cuja oferta deverá ocorrer de forma gratuita às redes municipais de ensino. (NR)
- § 2° acrescentado pela Lei n° 17.575, de 11/11/2022, com efeitos a partir do ano-base 2023 (valores apurados em 2024 e repassados em 2025).
§ 3° - Ao Município cujas unidades escolares e alunos não realizarem as provas de avaliação previstas no inciso I deste artigo, por ações ou omissões de responsabilidade municipal, ou que a taxa de participação dos alunos for inferior a 80%, será atribuída a menor nota registrada dentre todos os municípios avaliados. (NR)
- § 3° acrescentado pela Lei n° 17.575, de 11/11/2022, com efeitos a partir do ano-base 2023 (valores apurados em 2024 e repassados em 2025).
§ 4° - Caso as provas de avaliação não sejam realizadas ou não haja dados disponíveis para o cálculo do IQEM, a Participação no Rateio da Cota-Parte da Educação - PRE, a que se refere o inciso X do artigo 1°, será igual à do ano anterior. (NR)
- § 4° acrescentado pela Lei n° 17.575, de 11/11/2022, com efeitos a partir do ano-base 2023 (valores apurados em 2024 e repassados em 2025).
§ 4° - Caso as provas de avaliação não sejam realizadas ou não haja dados disponíveis para o cálculo do IQEM por motivos alheios a ações ou omissões de responsabilidade municipal, a Participação no Rateio da Cota-Parte da Educação - PRE, a que se refere o inciso X do artigo 1° desta lei, será igual à do ano anterior. (NR)
- § 4° com redação dada pela Lei n° 18.381, de 23/12/2025, com efeitos a partir do ano-base 2026 (valores apurados em 2027 e repassados em 2028).
§ 5° - O Poder Executivo deverá propor a ampliação do escopo do IQEM, incorporando avaliação de desempenho e informações relativas ao fluxo escolar dos anos finais do ensino fundamental da rede pública municipal, em até 10 (dez) anos da publicação desta lei. (NR)
- § 5° acrescentado pela Lei n° 17.575, de 11/11/2022, com efeitos a partir do ano-base 2023 (valores apurados em 2024 e repassados em 2025).
§ 5° - O Poder Executivo deverá propor a ampliação do escopo do IQEM, incorporando avaliação de desempenho dos anos finais do ensino fundamental da rede pública municipal, em até 10 (dez) anos da publicação desta lei. (NR).
- § 5° com redação dada pela Lei n° 18.381, de 23/12/2025, com efeitos a partir do ano-base 2026 (valores apurados em 2027 e repassados em 2028).
§ 6° - As metas do Índice de Desenvolvimento da Educação do Estado de São Paulo - IDESP (2° ano e 5° ano) e do Percentual de Alunos em Tempo Integral - PATI a serem atingidas por cada município estão descritas, respectivamente, nas tabelas dos Anexos II e III desta lei. (NR).
- § 6° acrescentado pela Lei n° 18.381, de 23/12/2025, com efeitos a partir do ano-base 2026 (valores apurados em 2027 e repassados em 2028).
Artigo 3° - Os critérios de entrega da parcela municipal do Imposto de Circulação de Mercadorias, estabelecidos por esta lei, serão aplicados (vetado) no exercício de 1982.
Parágrafo único - Vetado.
Artigo 4° - Esta lei entrará em vigor em 1° de janeiro de 1982, revogado o artigo 98 da Lei n. 440, de 24 de setembro de 1974.
Palácio dos Bandeirantes, 23 de dezembro de 1981.
PAULO SALIM MALUF
Affonso Celso Pastore
Secretário da Fazenda
Publicada na Assessoria Técnico-Legislativa, aos 23 de dezembro de 1981.
Esther Zinsly, Diretor (Divisão - Nível II).
- Texto retificado no Diário Oficial do Executivo I de 13/01/1982.
- Norma revogada pela Lei n° 12.683, de 26/07/2007, com vigência restabelecida pela Lei n° 13.269, de 11/12/2008, com efeitos a partir de 27/07/2007.
- Vide Decreto n° 66.048, de 24/09/2021.
- Anexo Único acrescentado pela Lei n° 17.575, de 11/11/2022.
1. Cálculo do IQEM:

1.1. Cálculo de obtenção do IQA:

1.2 Cálculo de obtenção do IQI:

1.3 Cálculo de obtenção do IF:

2.Cálculo da Cota-Parte da Educação (PRE):

Cálculo da Participação no Rateio da Cota-Parte da Educação (PRE) e do Índice de Qualidade da Educação Municipal (IQEM), a que se refere o inciso X do artigo 1° e § 1° do artigo 2°-A desta lei.
1. Cálculo da Participação da Cota-Parte da Educação (PRE)
A PRE tem por objetivo apurar o índice de participação de cada município no que concerne ao critério educacional da quota-parte municipal do ICMS, com base no IQEM de cada município e no número de matrículas nos anos iniciais do ensino fundamental da rede municipal.
São características da PRE:
i. correlação com a população escolar, a quantidade de alunos dos municípios;
ii. previsão de incentivos para reduzir o abandono escolar; e
iii. atribuição de maiores recursos a municípios com mais alunos em situação vulnerável na rede municipal.
A PRE é calculada pela seguinte fórmula:

Onde:
PREit é a participação no rateio da cota-parte da educação do município i no ano t;
IQEMit é o índice de qualidade da educação na rede municipal do município i no ano t;
NMit é o número de matrículas dos estudantes de todos os anos iniciais do ensino fundamental da rede municipal do município i no ano t;

é o somatório dos produtos dos índices de qualidade da educação e número de matrículas da rede municipal de todos os municípios no ano t.
2. Cálculo do Índice de Qualidade da Educação Municipal (IQEM)
O IQEM, conforme Resolução Seduc-SP n° 74/2008, que trata do Programa Qualidade da Escola, alterada por meio da Resolução Seduc-SP n° 98/2024, tem por objetivo mensurar a qualidade da educação na rede municipal, levando em consideração o desempenho (equidade) dos alunos dos 2° e 5° anos do Ensino Fundamental, o percentual de Escolas de Tempo Integral e o Fator Socioeconômico de cada município, aferindo uma nota final para cada um deles, que varia de 0 a 10.
São características do IQEM:
i. comparabilidade da qualidade educacional dos municípios, independentemente do seu porte;
ii. avaliação da alfabetização e matemática ao final do 2° ano do ensino fundamental e avaliação das competências de língua portuguesa e matemática ao final do 5° ano do ensino fundamental;
iii. consideração das taxas de reprovação e de abandono dos alunos dos anos iniciais do ensino fundamental, através da taxa de aprovação quem compõe o Índice de Desenvolvimento da Educação do Estado de São Paulo (IDESP); e
iv. aplicação anual do Sistema de Avaliação do Rendimento Escolar do Estado de São Paulo SARESP em todas as redes municipais.
O IQEM é calculado pela seguinte fórmula:

Onde:
IQEMit é o índice de qualidade da educação na rede municipal do município i no ano t;
IQAit é o índice de qualidade da alfabetização na rede municipal do município i no ano t;
IQIit é o índice de qualidade dos anos iniciais na rede municipal do município i no ano t;
PATIit é o percentual de estudantes matriculados em ensino de tempo integral de todos os anos iniciais do ensino fundamental da rede municipal do município i no ano t; e
ISEit é o índice socioeconômico dos estudantes de todos os anos iniciais do ensino fundamental da rede municipal do município i no ano t.
2.1. Cálculo do Índice de Qualidade da Alfabetização (IQA)
O IQA representa o percentual de alcance da meta (Anexo II) do Índice da Qualidade da Alfabetização. Este índice é mensurado com base no Índice de Desenvolvimento da Educação do Estado de São Paulo (IDESP), obtido através da avaliação do 2° ano do ensino fundamental da rede municipal, realizada pelo SARESP, no ano t, considerando o município i. Para o cálculo do percentual de alcance, será considerada apenas uma casa decimal para os índices do IDESP.
O IQA é calculado pela seguinte fórmula:

Onde:
IQAit é o índice de qualidade da alfabetização na rede municipal do município i no ano t;
ID2it é o IDESP dos estudantes do 2° ano do Ensino Fundamental da rede municipal do município i no ano t; e
Meta2it é a meta projetada do IDESP para o 2° ano do Ensino Fundamental para o município i no ano t, conforme tabela de metas previstas no Anexo II. Utiliza-se o IDESP do 2° ano do Ensino Fundamental da rede municipal do município i do ano anterior (t-1) com arredondamento para 1 casa decimal.
Nos municípios onde a avaliação (SARESP) do 2° ano do Ensino Fundamental no ano de cálculo (t) e/ou no ano anterior (t-1) não for aplicada por ação ou omissão de responsabilidade municipal, ou não alcançarem a participação mínima de 80%, será atribuída a menor nota registrada dentre todos os municípios avaliados, conforme estabelecido no artigo 2° § 4° desta lei
2.2. Cálculo do Índice de Qualidade dos Anos Iniciais (IQI)
O IQI representa o percentual de alcance da meta (Anexo II) do Índice da Qualidade dos Anos Iniciais. Este índice é mensurado com base no IDESP, obtido através da avaliação do 5° ano do Ensino Fundamental da rede municipal, realizada pelo SARESP, no ano t, considerando o município i. Para o cálculo do percentual de alcance, será considerada apenas uma casa decimal para os índices do IDESP.
O IQI é calculado pela seguinte fórmula:

Onde:
IQIit é o índice de qualidade dos anos iniciais na rede municipal do município i no ano t;
ID5it é o IDESP dos estudantes do 5° ano do Ensino Fundamental da rede municipal do município i no ano t; e
Meta5it é a meta projetada do IDESP 5° Ano do Ensino Fundamental para o município i no ano t, conforme tabela de metas previstas no Anexo II. Utiliza-se IDESP do 5° ano do Ensino Fundamental da rede municipal do município i do ano anterior (t-1) com arredondamento para 1 casa decimal.
Nos municípios onde a avaliação (SARESP) do 5° ano do ensino fundamental no ano de cálculo (t) e/ou no ano anterior (t-1) não for aplicada por ação ou omissão de responsabilidade municipal, ou não alcançarem a participação mínima de 80%, será atribuída a menor nota registrada dentre todos os municípios avaliados, conforme estabelecido no artigo 2° §4° desta lei
2.3. Cálculo de obtenção do IATI
O IATIit representa o percentual de atingimento da meta (Anexo III) do Índice de Alunos em Tempo Integral. Este índice é mensurado com base no percentual de alunos matriculados em ensino de tempo integral de todos os anos iniciais do ensino fundamental da rede municipal. Para o cálculo do percentual de alcance, será considerada apenas uma casa decimal para os índices do PATI.
O IATI é calculado pela seguinte fórmula:

Onde:
IATIit é o índice de estudantes matriculados em ensino de tempo integral de todos os anos iniciais do ensino fundamental da rede municipal do município i no ano t;
PATIit é o percentual de estudantes matriculados em ensino de tempo integral de todos os anos iniciais do ensino fundamental da rede municipal do município i no ano t; e
Meta_PATIit é a meta projetada do percentual de alunos matriculados em ensino integral do município i no ano t, conforme tabela de metas previstas no Anexo III. Utiliza-se PATI do município i do ano anterior (t-1) com arredondamento para 0 casa decimal.
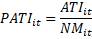
2.3.1. Cálculo de obtenção do PATI
O PATIit é o percentual de estudantes matriculados em ensino de tempo integral de todos os anos iniciais do ensino fundamental da rede municipal, expresso pela seguinte fórmula:

Onde:
PATIit é o percentual de estudantes matriculados em ensino de tempo integral de todos os anos iniciais do ensino fundamental da rede municipal do município i no ano t;
ATIit é o número de matrículas em ensino de tempo integral dos estudantes de todos os anos iniciais do ensino fundamental da rede municipal do município i no ano t; e
NMit é o número de matrículas dos estudantes de todos os anos iniciais do ensino fundamental da rede municipal do município i no ano t.
2.4. Cálculo de obtenção do ISE
O ISEit é o índice socioeconômico dos estudantes da rede municipal, expresso pela seguinte fórmula:

Onde:
ISEit é o índice socioeconômico dos estudantes da rede municipal do município i no ano t; e
INSEit é o Indicador de Nível Socioeconômico, obtido através do Questionário Contextual do Censo Escolar dos Anos Iniciais, dos alunos de todos os anos iniciais do ensino fundamental da rede municipal do município i no ano t.
- Anexo I acrescentado pela Lei n° 18.381, de 23/12/2025, com efeitos a partir do ano-base 2026 (valores apurados em 2027 e repassados em 2028), revogado o Anexo Único.
| IDESP | Projeção | |
| Resultado Arredondado do Ano anterior | Meta com arredondamento | Crescimento |
| 0 | 4,00 | 4,00 |
| 0,1 | 4,00 | 3,9 |
| 0,2 | 4,00 | 3,8 |
| 0,3 | 4,00 | 3,7 |
| 0,4 | 4,00 | 3,6 |
| 0,5 | 4,00 | 3,5 |
| 0,6 | 4,00 | 3,4 |
| 0,7 | 4,00 | 3,3 |
| 0,8 | 4,00 | 3,2 |
| 0,9 | 4,00 | 3,1 |
| 1 | 4,00 | 3 |
| 1,1 | 4,00 | 2,9 |
| 1,2 | 4,00 | 2,8 |
| 1,3 | 4,00 | 2,7 |
| 1,4 | 4,00 | 2,6 |
| 1,5 | 4,00 | 2,5 |
| 1,6 | 4,00 | 2,4 |
| 1,7 | 4,00 | 2,3 |
| 1,8 | 4,00 | 2,2 |
| 1,9 | 4,00 | 2,1 |
| 2 | 4,00 | 2 |
| 2,1 | 4,00 | 1,9 |
| 2,2 | 4,00 | 1,8 |
| 2,3 | 4,00 | 1,7 |
| 2,4 | 4,00 | 1,6 |
| 2,5 | 4,00 | 1,5 |
| 2,6 | 4,00 | 1,4 |
| 2,7 | 4,00 | 1,3 |
| 2,8 | 4,00 | 1,2 |
| 2,9 | 4,00 | 1,1 |
| 3 | 4,00 | 1 |
| 3,1 | 4,00 | 0,9 |
| 3,2 | 4,00 | 0,8 |
| 3,3 | 4,00 | 0,7 |
| 3,4 | 4,02 | 0,62 |
| 3,5 | 4,1 | 0,6 |
| 3,6 | 4,18 | 0,58 |
| 3,7 | 4,27 | 0,57 |
| 3,8 | 4,35 | 0,55 |
| 3,9 | 4,43 | 0,53 |
| 4 | 4,52 | 0,52 |
| 4,1 | 4,6 | 0,5 |
| 4,2 | 4,68 | 0,48 |
| 4,3 | 4,77 | 0,47 |
| 4,4 | 4,85 | 0,45 |
| 4,5 | 4,93 | 0,43 |
| 4,6 | 5,02 | 0,42 |
| 4,7 | 5,1 | 0,4 |
| 4,8 | 5,18 | 0,38 |
| 4,9 | 5,27 | 0,37 |
| 5 | 5,35 | 0,35 |
| 5,1 | 5,43 | 0,33 |
| 5,2 | 5,52 | 0,32 |
| 5,3 | 5,6 | 0,3 |
| 5,4 | 5,68 | 0,28 |
| 5,5 | 5,77 | 0,27 |
| 5,6 | 5,85 | 0,25 |
| 5,7 | 5,93 | 0,23 |
| 5,8 | 6,02 | 0,22 |
| 5,9 | 6,1 | 0,2 |
| 6 | 6,18 | 0,18 |
| 6,1 | 6,27 | 0,17 |
| 6,2 | 6,35 | 0,15 |
| 6,3 | 6,43 | 0,13 |
| 6,4 | 6,52 | 0,12 |
| 6,5 | 6,6 | 0,1 |
| 6,6 | 6,68 | 0,08 |
| 6,7 | 6,77 | 0,07 |
| 6,8 | 6,85 | 0,05 |
| 6,9 | 6,93 | 0,03 |
| 7 | 7 | |
| 7,1 | 7 | |
| 7,2 | 7 | |
| 7,3 | 7 | |
| 7,4 | 7 | |
| 7,5 | 7 | |
| 7,6 | 7 | |
| 7,7 | 7 | |
| 7,8 | 7 | |
| 7,9 | 7 | |
| 8 | 7 | |
| 8,1 | 7 | |
| 8,2 | 7 | |
| 8,3 | 7 | |
| 8,4 | 7 | |
| 8,5 | 7 | |
| 8,6 | 7 | |
| 8,7 | 7 | |
| 8,8 | 7 | |
| 8,9 | 7 | |
| 9 | 7 | |
| 9,1 | 7 | |
| 9,2 | 7 | |
| 9,3 | 7 | |
| 9,4 | 7 | |
| 9,5 | 7 | |
| 9,6 | 7 | |
| 9,7 | 7 | |
| 9,8 | 7 | |
| 9,9 | 7 | |
| 10 | 7 | |
- Anexo II acrescentado pela Lei n° 18.381, de 23/12/2025, com efeitos a partir do ano-base 2026 (valores apurados em 2027 e repassados em 2028).
| % Aluno em Tempo Integral | Projeção | |
| Resultado Arredondado do Ano anterior | Meta com arredondamento | Crescimento |
| 0% | 20,0% | 20,0% |
| 1% | 20,0% | 19,0% |
| 2% | 20,0% | 18,0% |
| 3% | 20,0% | 17,0% |
| 4% | 20,0% | 16,0% |
| 5% | 20,0% | 15,0% |
| 6% | 20,0% | 14,0% |
| 7% | 20,0% | 13,0% |
| 8% | 20,0% | 12,0% |
| 9% | 20,0% | 11,0% |
| 10% | 20,2% | 10,2% |
| 11% | 21,0% | 10,0% |
| 12% | 21,8% | 9,8% |
| 13% | 22,7% | 9,7% |
| 14% | 23,5% | 9,5% |
| 15% | 24,3% | 9,3% |
| 16% | 25,2% | 9,2% |
| 17% | 26,0% | 9,0% |
| 18% | 26,8% | 8,8% |
| 19% | 27,7% | 8,7% |
| 20% | 28,5% | 8,5% |
| 21% | 29,3% | 8,3% |
| 22% | 30,2% | 8,2% |
| 23% | 31,0% | 8,0% |
| 24% | 31,8% | 7,8% |
| 25% | 32,7% | 7,7% |
| 26% | 33,5% | 7,5% |
| 27% | 34,3% | 7,3% |
| 28% | 35,2% | 7,2% |
| 29% | 36,0% | 7,0% |
| 30% | 36,8% | 6,8% |
| 31% | 37,7% | 6,7% |
| 32% | 38,5% | 6,5% |
| 33% | 39,3% | 6,3% |
| 34% | 40,2% | 6,2% |
| 35% | 41,0% | 6,0% |
| 36% | 41,8% | 5,8% |
| 37% | 42,7% | 5,7% |
| 38% | 43,5% | 5,5% |
| 39% | 44,3% | 5,3% |
| 40% | 45,2% | 5,2% |
| 41% | 46,0% | 5,0% |
| 42% | 46,8% | 4,8% |
| 43% | 47,7% | 4,7% |
| 44% | 48,5% | 4,5% |
| 45% | 49,3% | 4,3% |
| 46% | 50,2% | 4,2% |
| 47% | 51,0% | 4,0% |
| 48% | 51,8% | 3,8% |
| 49% | 52,7% | 3,7% |
| 50% | 53,5% | 3,5% |
| 51% | 54,3% | 3,3% |
| 52% | 55,2% | 3,2% |
| 53% | 56,0% | 3,0% |
| 54% | 56,8% | 2,8% |
| 55% | 57,7% | 2,7% |
| 56% | 58,5% | 2,5% |
| 57% | 59,3% | 2,3% |
| 58% | 60,2% | 2,2% |
| 59% | 61,0% | 2,0% |
| 60% | 61,8% | 1,8% |
| 61% | 62,7% | 1,7% |
| 62% | 63,5% | 1,5% |
| 63% | 64,3% | 1,3% |
| 64% | 65,2% | 1,2% |
| 65% | 66,0% | 1,0% |
| 66% | 66,8% | 0,8% |
| 67% | 67,7% | 0,7% |
| 68% | 68,5% | 0,5% |
| 69% | 69,3% | 0,3% |
| 70% | 70,0% | |
| 71% | 70,0% | |
| 72% | 70,0% | |
| 73% | 70,0% | |
| 74% | 70,0% | |
| 75% | 70,0% | |
| 76% | 70,0% | |
| 77% | 70,0% | |
| 78% | 70,0% | |
| 79% | 70,0% | |
| 80% | 70,0% | |
| 81% | 70,0% | |
| 82% | 70,0% | |
| 83% | 70,0% | |
| 84% | 70,0% | |
| 85% | 70,0% | |
| 86% | 70,0% | |
| 87% | 70,0% | |
| 88% | 70,0% | |
| 89% | 70,0% | |
| 90% | 70,0% | |
| 91% | 70,0% | |
| 92% | 70,0% | |
| 93% | 70,0% | |
| 94% | 70,0% | |
| 95% | 70,0% | |
| 96% | 70,0% | |
| 97% | 70,0% | |
| 98% | 70,0% | |
| 99% | 70,0% | |
| 100% | 70,0% | |
- Anexo III acrescentado pela Lei n° 18.381, de 23/12/2025, com efeitos a partir do ano-base 2026 (valores apurados em 2027 e repassados em 2028).