O GOVERNADOR DO ESTADO DE SÃO PAULO:
Faço saber que a Assembléia Legislativa decreta e eu promulgo a seguinte lei:
Artigo 1.º - Os vencimentos, salários, valor-base de remuneração e proventos dos funcionários, servidores e inativos do Estado ficam reajustados em 9% (nove por cento).
§ 1.º - Os valores decorrentes do reajuste de que trata o "caput" deste artigo são os constantes dos Anexos I a XVIII, na seguinte conformidade:
1 - Anexo I - correspondente aos integrantes das classes de Auxiliar Administrativo Tributário e Técnico Administrativo Tributário, de que trata o § 1.º do Artigo 5.º da Lei Complementar n. 565, de 20 de julho de 1988;
2 - Anexo II - correspondente à carreira de Delegado de Polícia, de que trata o Artigo 2.º da Lei Complementar n. 492, de 23 de dezembro de 1986;
3 - Anexo III - correspondente aos integrantes da série de classes de Contador e dos Cargos em Comissão, de que trata o § 1.º do Artigo 12 da Lei Complementar n. 549, de 24 de junho de 1988;
4 - Anexo IV - correspondente aos integrantes das classes de Auditor I, II e III, de que trata a Lei Complementar n. 574, de 11 de novembro de 1988;
5 - Anexo V - correspondente aos componentes da Polícia Militar a que se refere o Artigo 10 da Lei Complementar n. 546, de 24 de junho de 1988;
6 - Anexo VI - correspondente aos integrantes das classes de Auxiliar Administrativo Fazendário I, II, III e IV, de que trata o Artigo 11 da Lei Complementar n. 591, de 29 de dezembro de 1988;
7 - Anexo VII - correspondente aos servidores a que se refere o Artigo 1.º da Lei n. 3.787, de 14 de julho de 1983;
8 - Anexo VIII - correspondente aos servidores a que se refere o Artigo 1.º da Lei n. 3.788, de 14 de julho de 1983;
9 - Anexo IX - correspondente aos servidores a que se refere o Artigo 21 da Lei n. 4.569, de 16 de maio de 1985;
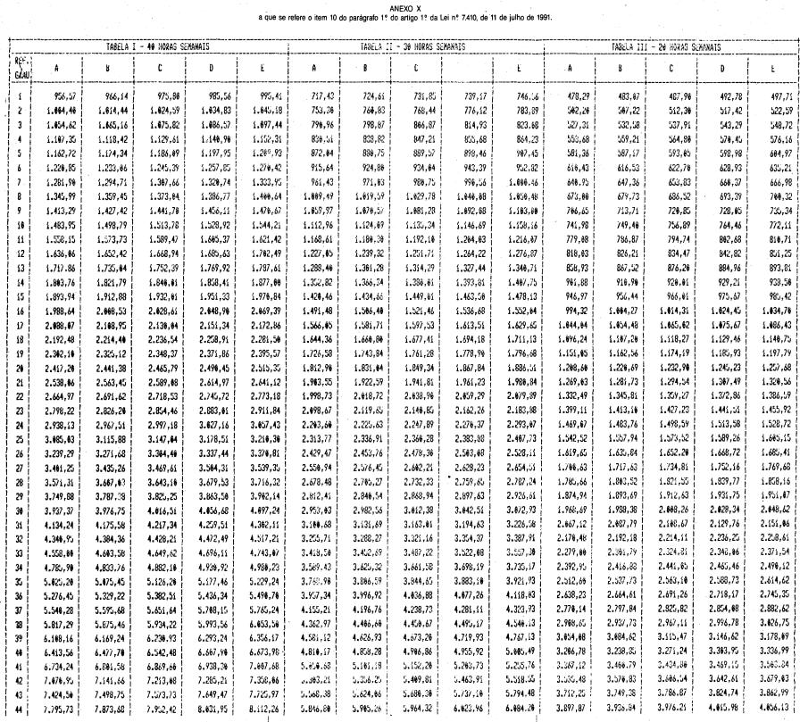
10 - Anexo X - correspondente aos funcionários, servidores e inativos que optaram pela permanência na situação retribuitória anterior à Lei Complementar n. 247, de 6 de abril de 1981;
11 - Anexos XI e XII - correspondentes aos funcionários, servidores e inativos que estejam percebendo vencimentos, salários, remuneração ou proventos calculados com base nas disposições do Decreto-lei Complementar n. 11, de 2 março de 1970;
12 - Anexos XIII e XIV - correspondentes aos funcionários, servidores e inativos que estejam percebendo vencimentos, salários, remuneração ou proventos calculados com base na legislação anterior ao Decreto-lei Complementar n. 11, de 2 de março de 1970;
13 - Anexo XV - correspondente aos integrantes da série de classes de Agente Fiscal de Rendas de que trata o inciso I do Artigo 5.º da Lei Complementar n. 567, de 20 de julho de 1988;
14 - Anexo XVI - correspondente aos integrantes da série de classes de Pesquisador Científico de que trata o Artigo 1.º da Lei Complementar n. 327, de 14 de julho de 1983;
15 - Anexo XVII - correspondente aos integrantes das séries de classes de Engenheiro, Arquiteto, Engenheiro Agrônomo e Assistente Agropecuário de que trata o § 1.º do Artigo 1.º da Lei Complementar n. 540, de 27 de maio de 1988;
16 - Anexo XVIII - correspondente aos integrantes das classes de Controlador de Pagamento de Pessoal I, II, III e IV, de que trata o § 1.º do Artigo 1.º da Lei Complementar n. 578, de 13 de dezembro de 1988.
§ 2.º - Os valores da Escala de Vencimentos - Quadro do Magistério, instituída pelo Artigo 26-A da Lei Complementar n. 444, de 27 de dezembro de 1985, constante do Artigo 2.º da Lei Complementar n. 645, de 27 de dezembro de 1989, são, em decorrência do disposto no "caput", os fixados no Anexo XIX.
§ 3.º - Os valores das Escalas de Vencimentos Nível Básico, Nível Médio, Área Saúde Nível Básico e Área Saúde Nível Médio, instituídas pelo Artigo 7.º da Lei Complementar n. 585, de 21 de dezembro de 1988, são, em decorrência do disposto no "caput", os fixados nos Anexos XX, XXI, XXII e XXIII.
§ 4.º - Os valores das Escalas de Vencimentos Nível Superior e Cargos em Comissão, instituídas pelo Artigo 6.º da Lei Complementar n. 556, de 15 de julho de 1988, são, em decorrência do disposto no "caput", os fixados nos Anexos XXIV e XXV.
Artigo 2.º - Os vencimentos, salários e proventos dos funcionários, servidores e inativos, mencionados neste artigo, em decorrência de reclassificação das respectivas carreiras e séries de classes, já computado o percentual de que trata o Artigo 1.º desta lei, são os fixados nos Anexos XXVI a XXX, na seguinte conformidade:
I - Anexo XXVI - correspondente aos integrantes da carreira de Procurador do Estado e dos Cargos em Comissão privativos de Procurador do Estado de que trata o Artigo 2.º da Lei Complementar n. 560, de 15 de julho de 1988;
II - Anexo XXVII - correspondente aos integrantes da carreira de Delegado de Polícia, de que trata o Artigo 2.º da Lei Complementar n. 545, de 24 de junho de 1988;
III - Anexo XXVIII - correspondente aos componentes da Polícia Militar a que se refere o Artigo 2.º da Lei Complementar n. 546, de 24 de junho de 1988;
IV - Anexo XXIX - correspondente aos integrantes das carreiras policiais civis, de que trata o § 1.º do Artigo 1.º da Lei Complementar n. 547, de 24 de junho de 1988;
V - Anexo XXX - correspondente aos integrantes da série de classes de Agente de Segurança Penitenciária, de que trata o § 1.º do Artigo 1.º da Lei Complementar n. 548, de 24 de junho de 1988.
Artigo 3.º - As classes constantes dos Anexos XXXI e XXXII que fazem parte integrante desta lei, pertencentes à Escala de Vencimentos Nível Superior e à Escala de Vencimentos Cargos em Comissão, instituídas pelo Artigo 6.º da Lei Complementar n. 556, de 15 de julho de 1988, ficam com as respectivas faixas alteradas na conformidade dos referidos Anexos.
Parágrafo único - Os títulos dos funcionários e servidores abrangidos pelo disposto neste artigo serão apostilados pelas autoridades competentes.
Artigo 4.º - A série de classes de docentes e as classes de Especialistas de Educação do Quadro do Magistério, a que se refere o Artigo 1.º da Lei Complementar n. 645, de 27 de dezembro de 1989, mantidas a denominação e a Tabela, ficam com as referências iniciais e finais fixadas na conformidade do Anexo XXXIII, que faz parte integrante desta lei.
Parágrafo único - Os títulos dos funcionários e servidores abrangidos pelo disposto neste artigo serão apostilados pelas autoridades competentes.
Artigo 5.º - A Escala de Vencimentos - Quadro do Magistério, instituída pelo Artigo 26-A da Lei Complementar n. 444, de 27 de dezembro de 1985, constante do Artigo 2.º da Lei Complementar n. 645, de 27 de dezembro de 1989, passa a ser constituída de 47 (quarenta e sete) referências.
Artigo 6.º - O vencimento mensal de Secretário de Estado fica fixado em Cr$ 286.195,94 (duzentos e oitenta e seis mil, cento e noventa e cinco cruzeiros e noventa e quatro centavos).
Artigo 7.º - Os valores das gratificações concedidas nos termos do Artigo 1.º da Lei n. 5.225, de 7 de julho de 1986, ficam reajustados na seguinte conformidade:
I - para os servidores que exercem funções de nível universitário, enquadrados nas referências alfabéticas de A a Q:
a) Cr$ 3.426,56 (três mil, quatrocentos e vinte e seis cruzeiros e cinqüenta e seis centavos), quando em jornada de 40 (quarenta) horas semanais de trabalho;
b) Cr$ 2.570,00 (dois mil, quinhentos e setenta cruzeiros), quando em jornada de 30 (trinta) horas semanais de trabalho;
II - para os servidores enquadrados nas referências numéricas de I a XXXIII:
a) Cr$ 6.710,61 (seis mil, setecentos e dez cruzeiros e sessenta e um centavos), quando em jornada de 40 (quarenta) horas semanais de trabalho;
b) Cr$ 5.032,82 (cinco mil e trinta e dois cruzeiros e oitenta e dois centavos), quando em jornada de 30 (trinta) horas semanais de trabalho.
Artigo 8.º - Os valores das gratificações concedidas nos termos do Artigo 1.º da Lei n. 5.226, de 7 de julho de 1986, ficam reajustados na seguinte conformidade:
I - para os servidores que exercem funções de nível universitário, enquadrados nas referências alfabéticas de A a Q:
a) Cr$ 3.426,56 (três mil, quatrocentos e vinte e seis cruzeiros e cinquenta e seis centavos), quando em jornada de 40 (quarenta) horas semanais de trabalho;
b) Cr$ 2.570,00 (dois mil, quinhentos e setenta cruzeiros quando em jornada de 30 (trinta) horas semanais de trabalho;
II - para os servidores enquadrados nas referências numéricas de I a XXXIII.
a) Cr$ 6.710,61 (seis mil, setecentos e dez cruzeiros e sessenta e um centavos), quando em jornada de 40 (quarenta) horas semanais de trabalho;
b) Cr$ 5.032,82 (cinco mil e trinta e dois cruzeiros e oitenta e dois centavos), quando em jornada de 30 (trinta) horas semanais de trabalho.
Artigo 9.º - O valor das pensões mensais concedidas aos participantes civis da Revolução Constitucionalista de 1932, de que trata a Lei n. 1.890, de 18 de dezembro de 1978, alterada pelas Leis n. 3.988, de 26 de dezembro de 1983 e 5.417, de 15 de dezembro de 1986 e o Artigo 6.º da Lei Complementar n. 519, de 1.º de outubro de 1987, fica fixado em Cr$ 18.530,00 (dezoito mil, quinhentos e trinta cruzeiros).
Parágrafo único - O disposto neste artigo aplica-se, também, às pensões concedidas a mutilados civis da Revolução Constitucionalista de 1932, de que trata a Lei n. 3.242, de 16 de novembro de 1955, alterada pelas Leis n. 4.101, de 4 de setembro de 1957, 9.936, de 4 de dezembro de 1967 e 5.417, de 15 de dezembro de 1986.
Artigo 10 - O valor das pensões mensais vitalícias concedidas aos portadores de hanseníase, de que trata a Lei n. 1.907, de 20 de dezembro de 1978, alterada pelo Artigo 21 da Lei Complementar n. 467, de 2 de julho de 1986 e pelo Artigo 17 da Lei Complementar n. 581, de 20 de dezembro de 1988, fica fixado em Cr$ 18.530,00 (dezoito mil, quinhentos e trinta cruzeiros).
Artigo 11 - Quando, com o reajuste concedido por esta lei, resultar retribuição global mensal inferior aos valores fixados nos incisos deste artigo, será concedido ao funcionário ou servidor um reajuste complementar, para que sua retribuição global mensal corresponda a esses valores na seguinte conformidade:
I - Cr$ 25.300,88 (vinte e cinco mil, trezentos cruzeiros e oitenta e oito centavos), quando em jornada completa de trabalho;
II - Cr$ 18.975,66 (dezoito mil, novecentos e setenta e cinco cruzeiros e sessenta e seis centavos), quando em jornada comum de trabalho; e
III - Cr$ 12.650,44 (doze mil, seiscentos e cinquenta cruzeiros e quarenta e quatro centavos), quando em jornada de 20 (vinte) horas semanais de trabalho.
Artigo 12 - Os valores do salário-família e do salário-esposa ficam fixados em Cr$ 391,82 (trezentos e noventa e um cruzeiros e oitenta e dois centavos).
Artigo 13 - O limite máximo de retribuição global mensal, a que se refere o inciso XII do Artigo 115 da Constituição Estadual, aplicável aos servidores de que tratam os Artigos 124 "caput" e 138 da mesma Constituição, fica fixado em Cr$ 632.523,54 (seiscentos e trinta e dois mil, quinhentos e vinte e três cruzeiros e cinquenta e quatro centavos).
Parágrafo único - Se a aplicação desta lei acarretar retribuição global mensal superior ao limite fixado neste artigo, restringir-se-á o reajuste a importância que faltar para atingir esse limite.
Artigo 14 - Os funcionários, servidores e inativos, a que se referem os §§ 1.º, 3.º e 4.º do Artigo 1.º, bem como o Artigo 3.º desta lei, farão jus, no mês de abril de 1991, a um abono de valor correspondente:
I - a Cr$ 5000,00 (cinco mil cruzeiros), quando a retribuição global mensal, percebida em 1.º de abril de 1991, for igual ou inferior a Cr4 5.5.000,00 (cinquenta e cinco mil cruzeiros);
II - a quantia necessária para atingir Cr$ 60.000,00 (sessenta mil cruzeiros), quando a retribuição global mensal percebida em 1.º de abril de 1991, for superior a Cr$ 55.000,00 (cinquenta e cinco mil cruzeiros).
§ 1.º - Para fins do disposto neste artigo, considera-se retribuição global mensal a somatória de todos os valores percebidos pelo servidor, em caráter permanente, tais como o vencimento, a remuneração, o salário, o adicional por tempo de serviço, a sexta-parte, as gratificações incorporadas ou não e as demais vantagens pecuniárias, não eventuais, asseguradas pela legislação, excetuados apenas o salário-família, o salário-esposa, o adicional de insalubridade, a gratificação por trabalho noturno e a gratificação pela prestação de serviço extraordinário
§ 2.º - O abono a que se refere este artigo, para os beneficiários da pensão mensal e da pensão mensal vitalícia a que se referem os Artigos 9.º e 10, ambos desta lei, corresponderá a Cr$ 5.000,00 (cinco mil cruzeiros).
§ 3.º - Sobre o valor do abono de que trata este artigo não incidirão os descontos devidos ao Instituto de Assistência Médica ao Servidor Público Estadual - Iamspe e ao Instituto de Previdência do Estado de São Paulo Ipesp.
Artigo 15 - O abono de que trata o artigo anterior não se incorporará aos vencimentos, salários, remuneração proventos ou pensões, não será computado no cálculo do 13.º salário e não será considerado para efeito de cálculo de quaisquer vantagens pecuniárias.
Artigo 16 - O disposto nesta lei aplica-se nas mesmas bases e condições:
I - aos funcionários e servidores das Autarquias do Estado;
II - aos funcionários e servidores dos Quadros do Tribunal de Justiça, do Primeiro Tribunal e Segundo Tribunal de Alçada Civil, do Tribunal de Alçada Criminal, do Tribunal de Justiça Militar, do Tribunal de Contas e do Quadro da Secretaria da Assembléia Legislativa;
III - aos integrantes dos Quadros Especiais instituídos pelo Artigo 7.º da Lei n. 119, de 29 de junho de 1973, sob a responsabilidade da Secretaria de Energia e Saneamento mento; pelo Artigo 71 da Lei n. 10.430, de 16 de dezembro de 1971; pelo inciso I do Artigo 1.º do Decreto n. 24.960, de 10 de abril de 1986, sob a responsabilidade da Secretaria da Fazenda; aos integrantes da Parte Especial do Quadro da ex-autarquia Instituto de Pesquisas Tecnológicas, sob a responsabilidade da Secretaria da Ciência, Tecnologia e Desenvolvimento Econômico, bem como aos integrantes do Quadro Especial instituído pelo Artigo 3.º da Lei n. 6.470, de 15 de junho de 1989, sob a responsabilidade. da Secretaria de Esportes e Turismo.
Artigo 17 - O disposto nesta lei será computado:
I - no cálculo dos proventos dos inativos; e
II - no cálculo da retribuição-base para determinação do valor da pensão mensal devida pelo Instituto de Previdência do Estado de São Paulo - IPESP.
Artigo 18 - Para atendimento das despesas resultantes da aplicação desta lei, fica o Poder Executivo autorizado a abrir, para o corrente exercício, créditos suplementares ate o limite de Cr$ 270.000.000.000,00 (duzentos e setenta bilhões de cruzeiros), na forma prevista pelo Artigo 43, .§ 1.º, da Lei federal n. 4.320, de 17 de março de 1964.
Artigo 19 - Esta lei entrará em vigor na data de sua publicação, retroagindo seus efeitos a 1.º de abril de 1991.
Palácio dos Bandeirantes, 11 de julho de 1991.
LUIZ ANTONIO FLEURY FILHO
Frederico Mathias Mazzucchelli
Secretário da Fazenda
Miguel Tebar Barrionuevo
Secretário da Administração e Modernização do Serviço Público
Eduardo Maia de Castro Ferraz
Secretário de Planejamento e Gestão
Cláudio Ferraz de Alvarenga
Secretário do Governo
Publicada na Assessoria Técnico-Legislativa, aos 11 de julho de 1991.































